Figure 1
From: Piwi-like 1 protein expression is a prognostic factor for renal cell carcinoma patients

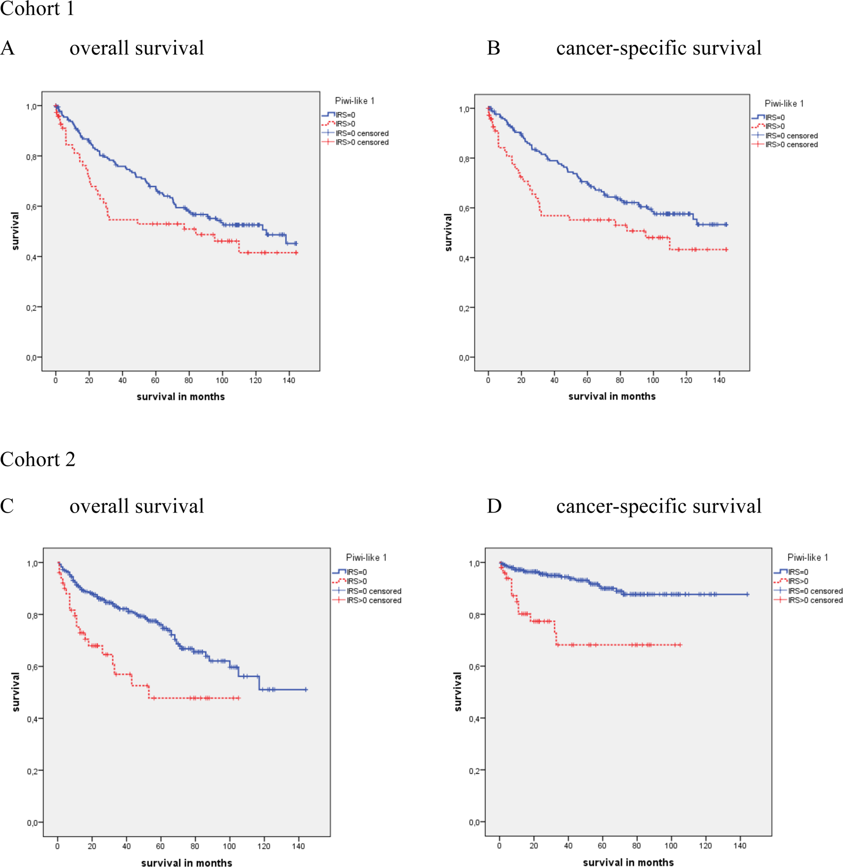
Kaplan-Meier analysis for overall (OS) and cancer specific survival (CSS) of all RCC patients in cohort 1 and cohort 2. In cohort 1 no significant association of Piwi-like 1 positivity with OS (P = 0.096) but a significant association with CSS (P = 0.032) was observed. In cohort 2 patients with Piwi-like 1 positive tumors showed a shorter OS (P = 0.001) and CSS (P < 0.001) than patients with Piwi-like 1 negative staining of their tumors. In this and all further survival analyses an IRS = 0 was considered as negative and an IRS > 0 as positive staining.