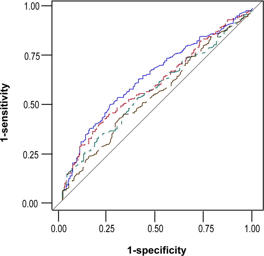
Figure 4

Receiver operating characteristic (ROC) curves for prediction of significant coronary stenosis (from <70% to ≥70%). Blue, red, green and black lines identify C-reactive protein, HSPCs, white blood cell count and LDL-cholesterol, respectively.