Figure 14
From: Photocatalytic Degradation of Bisphenol-A using N, Co Codoped TiO2 Catalyst under Solar Light

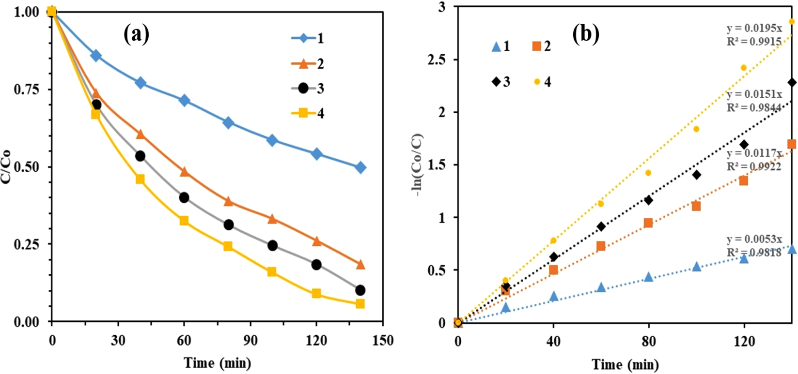
(a) Degradation and (b) reaction kinetics of BPA: pH = 3, catalyst concentration = 140 mg l−1, and [BPA]o = 30 mg l−1 (1) TiO2, (2) TCo0.5N1.5, (3) TCo1.0N1.0 and (4) TCo1.5 N0.5.