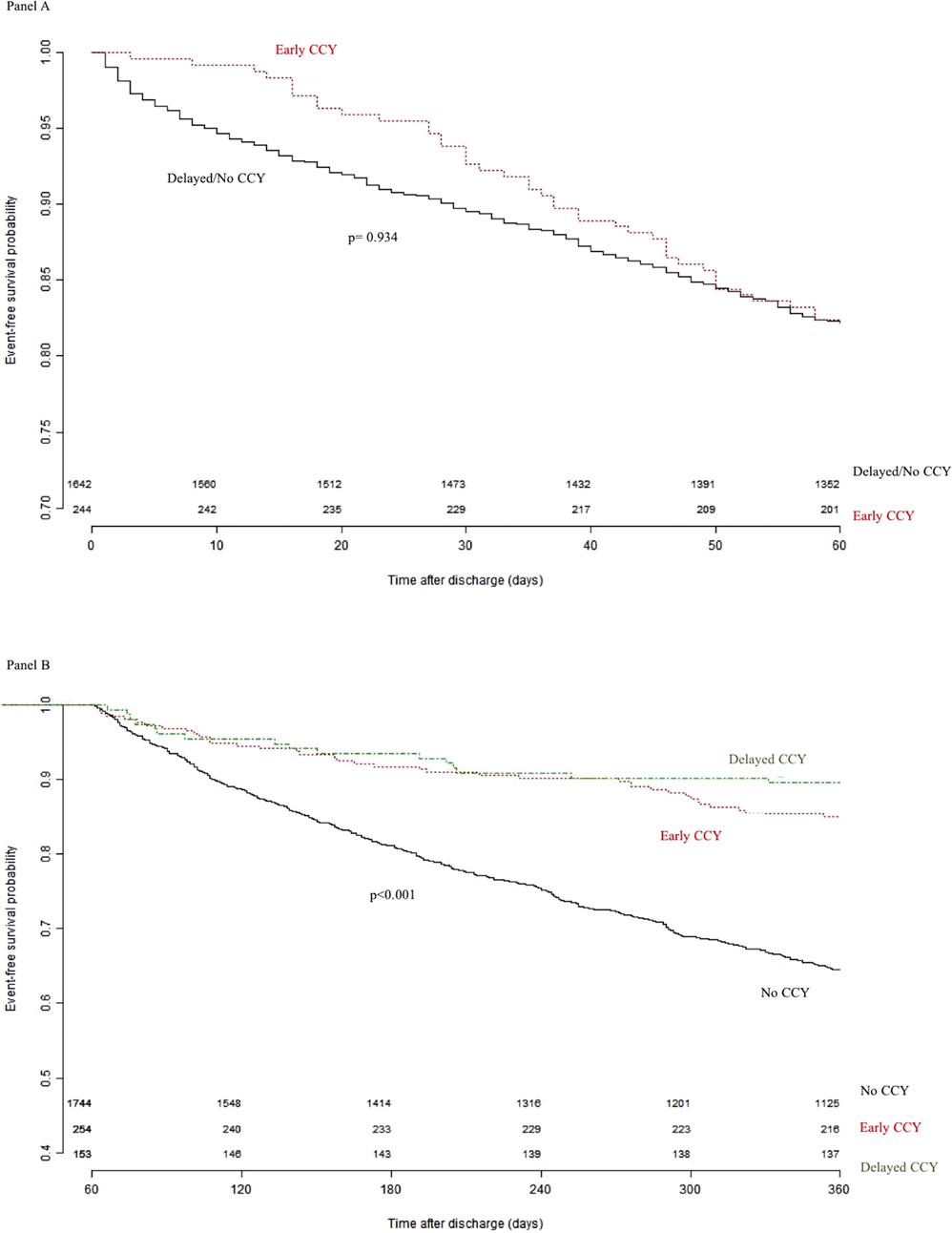
Figure 2

RBE event-free survival curves. (Panel A): Event-free survival curves of early CCY and no/delayed CCY within 60 days after index admission. (Panel B): Event-free survival curves of early, delayed and no CCY groups between 60 and 360 days after index admission.