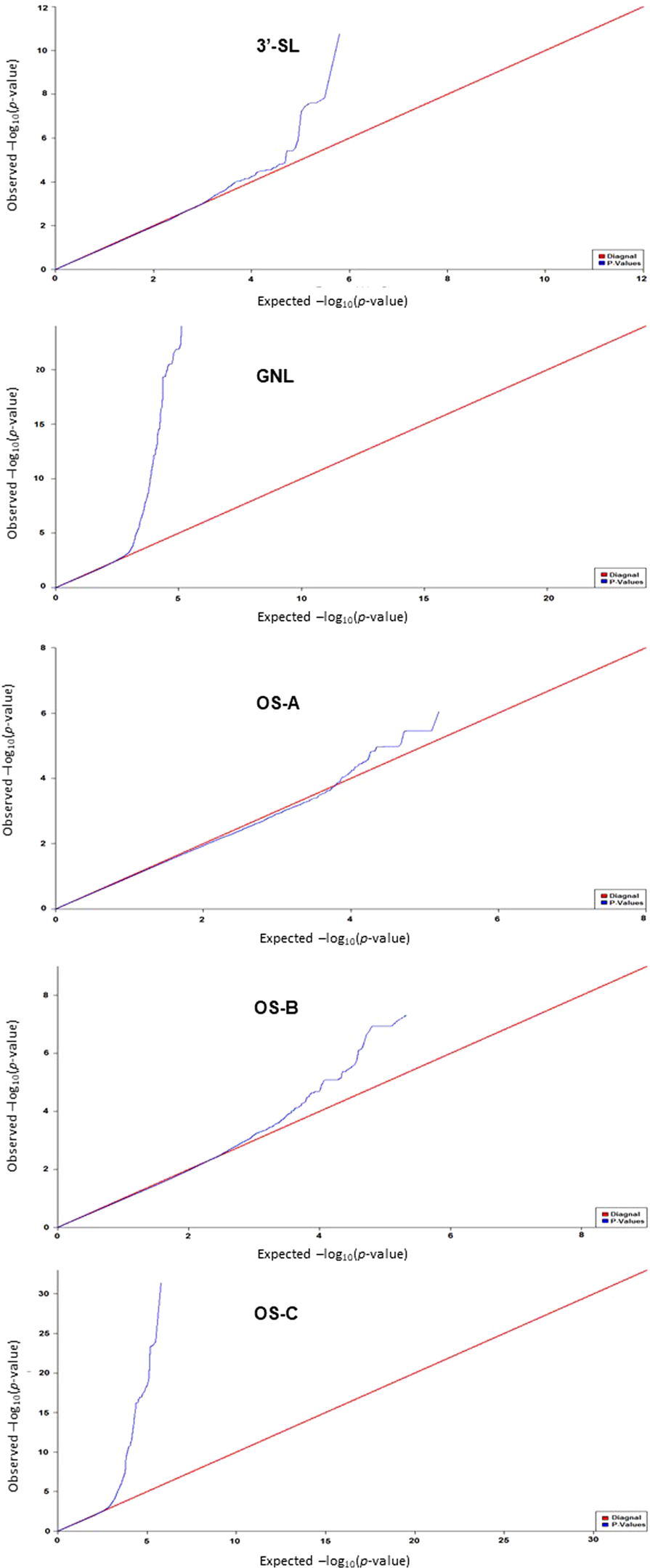
Figure 1
From: Fine-mapping sequence mutations with a major effect on oligosaccharide content in bovine milk

Quantile-quantile (QQ) plots of GWAS results for 3′-SL, GNL, OS-A, OS-B, and OS-C. Blue curve: observed −log10 (p-value); red line: expected −log10 (p-value) for null hypothesis.