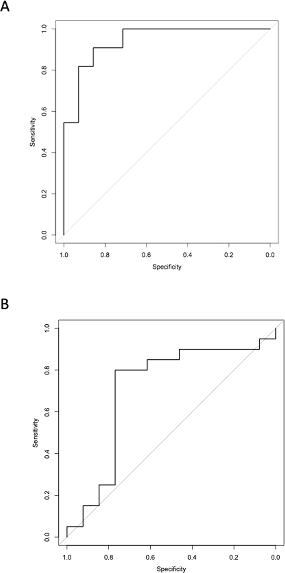
Figure 4

Receiver Operating Characteristic (ROC) curve analyses of 6 microRNA signature to discriminate between patients with DGF and those without DGF. ROC Curve Analysis, plotting sensitivity versus specificity for the Cardiff Cohort of patients developing DGF versus No DGF. Performance of discovered microRNA signature and of published predictive algorithm based on donor and recipient characteristics are presented. (A) ROC Curve for 6-microRNA signature (miR-9, -10a, -21, -29a, -221, and -429), Area under ROC 0.94. (B) ROC Curve for the 6 microRNAs which were up-regulated in DGF.