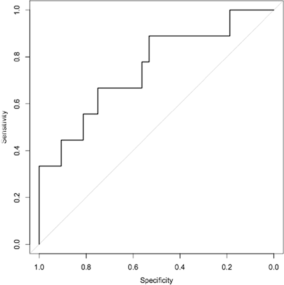
Figure 7

Receiver Operating Characteristic (ROC) curve analyses of 6 microRNA signature to discriminate between patients with DGF and those without DGF. Newcastle cohort: DGF (n = 13) v No DGF (n = 37) ROC of 0.75 for the 6 microRNAs which were up-regulated in DGF (miR-9, -10a, -21, -29a, -221, and -429).