Figure 4
From: New mechanism of plasmons specific for spin-polarized nanoparticles

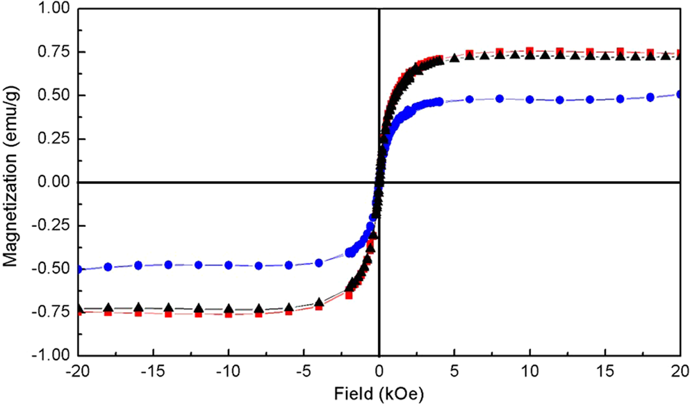
Magnetization of Co-NPs embedded in PMMA. Unaltered Co-NPs (red), after 2.5 hours sonication with external 130 mT DC magnetic field (blue), and 1 hour sonication with magnetic field off (black).