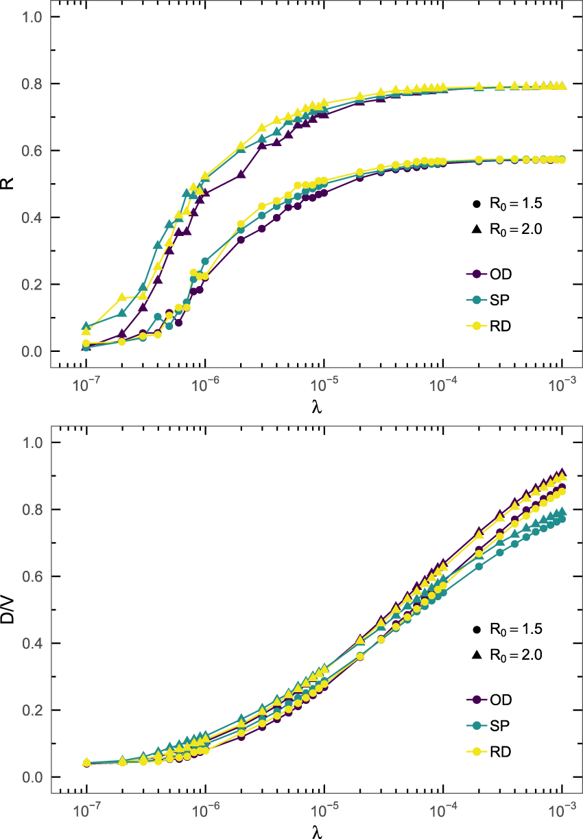
Figure 4
From: Impact of origin-destination information in epidemic spreading

Global incidence of the epidemics for varying mobility. Fraction of recovered individuals R (top) and fraction of subpopulations that experienced an outbreak D/V (bottom) as a function of the traffic generation rate λ. The network is the World ATN subnetwork, and the epidemic spreading process has a recovery rate μ = 0.04.