Figure 5
From: Impact of origin-destination information in epidemic spreading

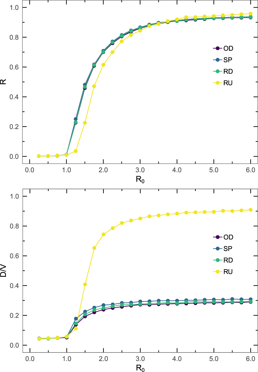
Global incidence of the epidemics for varying reproductive number. Fraction of recovered individuals R (top) and fraction of subpopulations that experienced an outbreak D/V (bottom) as a function of the reproductive number R0 for different routing strategies. The network is the World ATN, and the parameters of epidemic spreading process are μ = 0.04 and \(\lambda =5\cdot {10}^{-6}\).