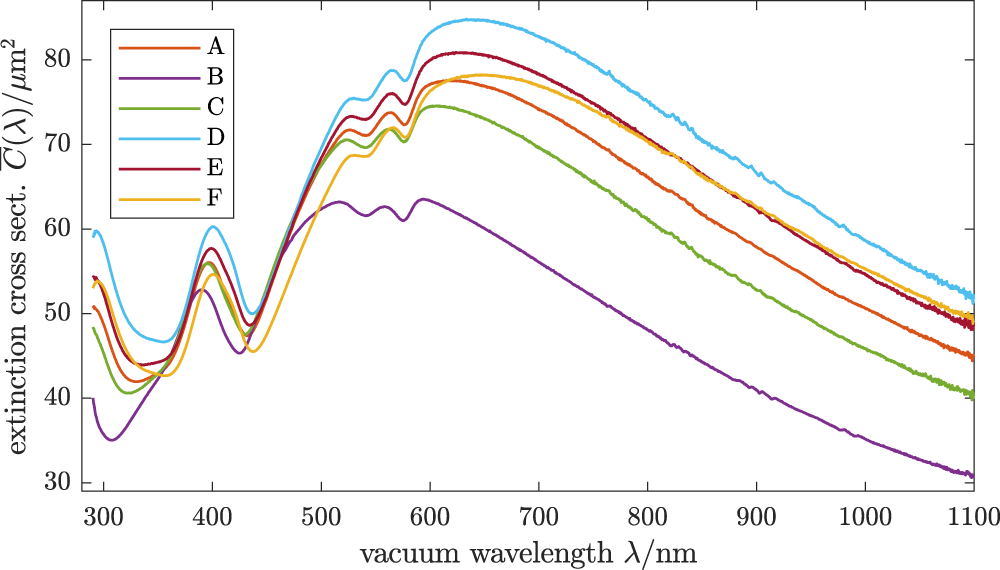
Figure 1

Extinction cross sections of sphered RBCs, washed three times and suspended in sphering reagent. Samples from six volunteers A–F who exhibit significantly different MCV were investigated. The curves shown are rescaled according to the optimisation results to eliminate the effect of particle concentration errors [rescaled by 1/(1 + η), cf. Eq. (8)]. Underlying data are available as Supplementary Data S1.