Figure 14

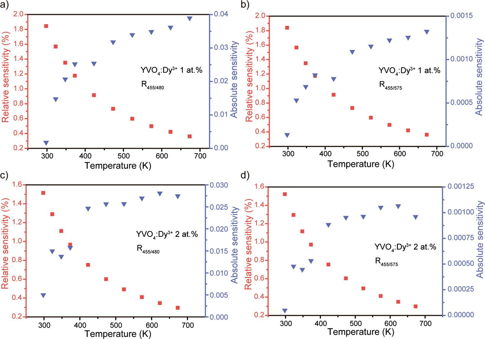
Variation of absolute (Sa) and relative (Sr) thermal sensitivity dependence on temperature for (a,b) YVO4:Dy3+ 1 at.% and (c,d) YVO4:Dy3+ 2 at.%.

Variation of absolute (Sa) and relative (Sr) thermal sensitivity dependence on temperature for (a,b) YVO4:Dy3+ 1 at.% and (c,d) YVO4:Dy3+ 2 at.%.