Figure 2
From: Maximizing Network Resilience against Malicious Attacks

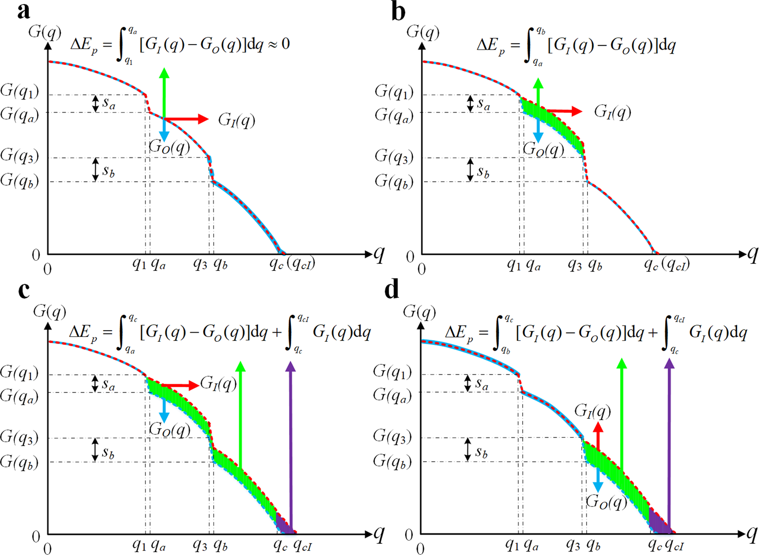
Comparisons of increments of elastic potential energy by adding edges in 4 possible ways. Here, q1 = qa − 1/N, q3 = qb − 1/N. (a) The increment of elastic potential energy by adding an edge between the two different nodes in the same finite component Ca (case (i)) (or in the critical giant component Cc,c (case (ii))). (b) The increment of elastic potential energy by adding an edge between the two nodes from two different finite components (case (iii)). (c) The increment of elastic potential energy by adding an edge between the “weak core” Ca,c (or Cb,c in d) and the critical giant component Cc,c (case (iv)).