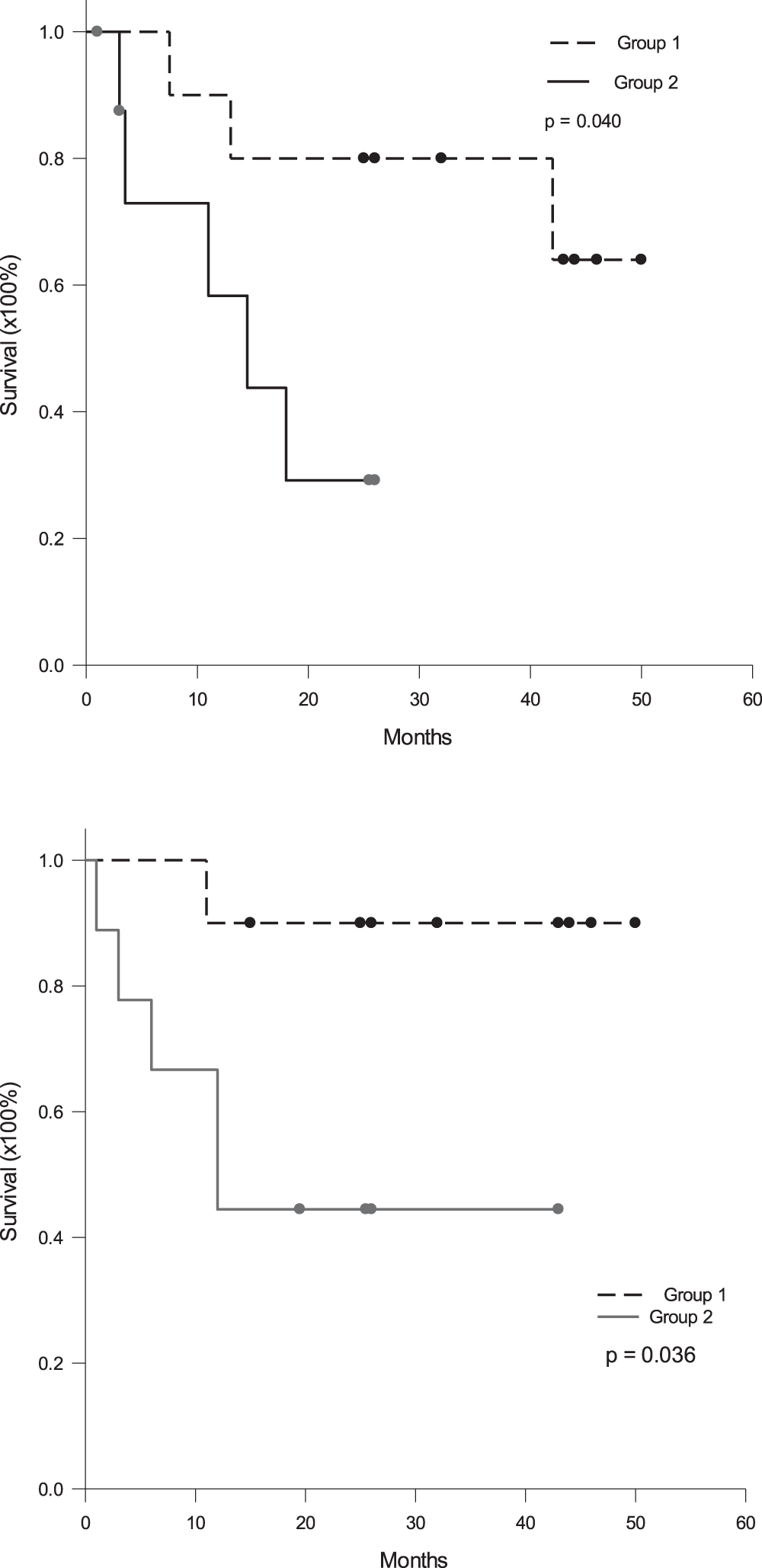
Figure 5

Disease-free and overall survival rates according to tumor volume. The patients were divided into two groups according to median tumor volume: group 1 patients with tumors ≤118 cm3 and group 2 patients with tumors >118 cm3. (a) The 1- and 3-year disease-free survival was 90.0% and 90.0% for group 1 patients, compared to 58.3% and 29.2% for group 2 patients (p = 0.040). (b) The 1- and 3-year overall survival was 90.0% and 80.0% for group 1 patients, compared to 66.7% and 44.4% for group 2 patients (p = 0.036).