Figure 2

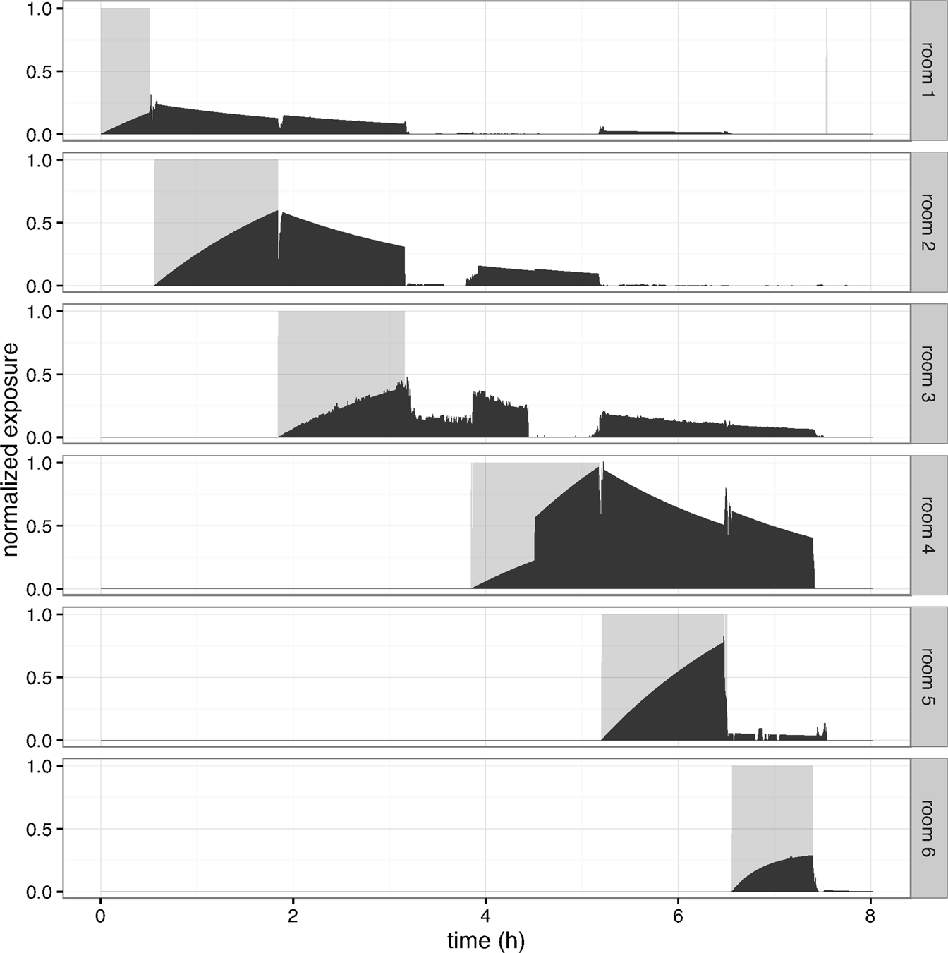
Illustration of relationship between presence of infected individual and exposure to others in the aerosol model. Presence of one (selected) infected individual in different rooms (gray area) and other people’s exposure to infectious material shed by the individual in the respective rooms (black bars) across 8 hours; the scale of the x-axis is hours, the scale of the y-axis is exposure in [0–0.02] quanta. Exposure levels depend on the number of exposed individuals in the room following deposition of infectious material, as well as air change rates (here 0.5).