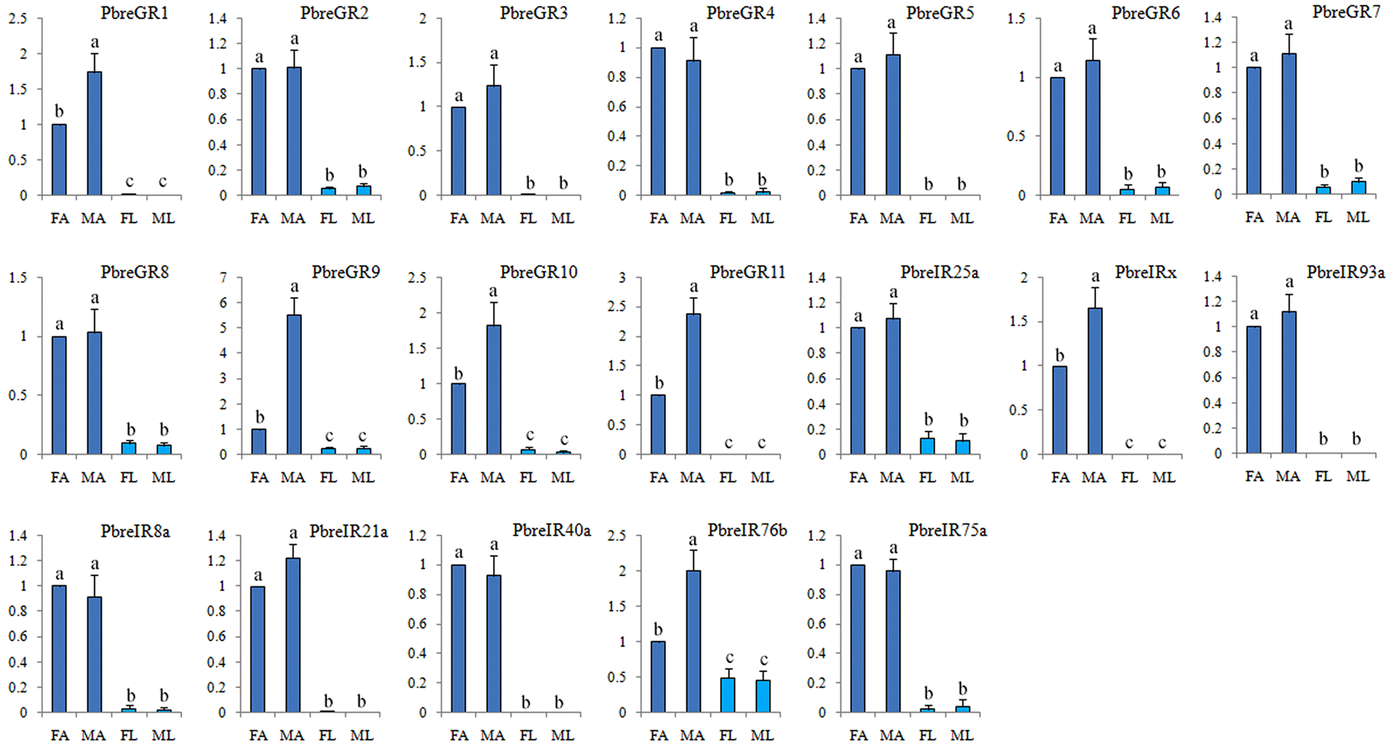
Figure 4

Transcript levels of Protaetia brevitarsis GRs and IRs in antennae measured by qRT-PCR. FA: female antennae; MA: male antennae; FL: female legs; ML: male legs. GAPDH2 was used as an internal control. The different letters above each bar indicate significant differences (P < 0.05).