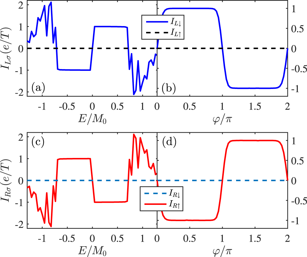
Figure 3
From: Quantized spin pump on helical edge states of a topological insulator

Spin-dependent pumped current ILσ in the single-boundary pump device versus (a) the Fermi energy E and (b) the pumping phase φ. The pumped current flowing through right lead IRσ is plotted in (c,d). Parameters are φ = π/2, E = 0.001t, L0 = 0, Vg = 0, and M0 = 0.01t.