Figure 4
From: Quantized spin pump on helical edge states of a topological insulator

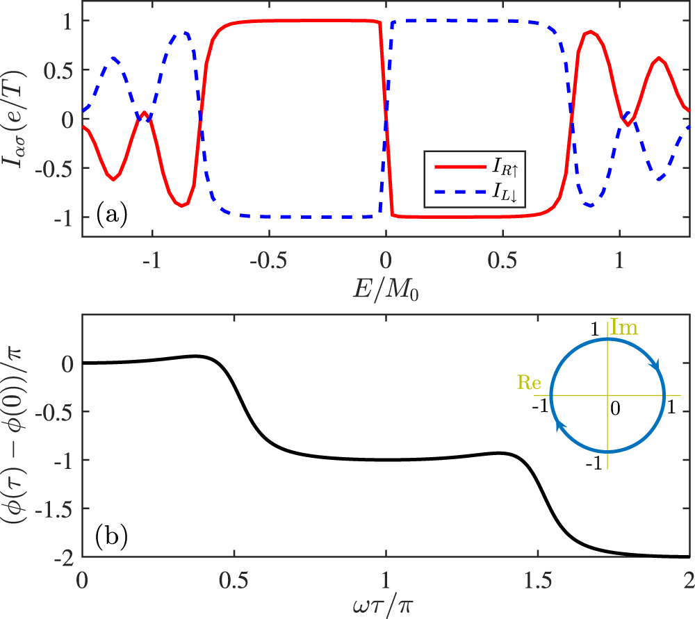
(a) Spin-dependent pumped current \({I}_{L\downarrow }\) and \({I}_{R\uparrow }\) as a function of the Fermi energy E and (b) the reflection coefficient phase (\({r}_{\downarrow \uparrow }\)) evolving with time ωτ. The inset is the plot of phase trajectory of \({r}_{\downarrow \uparrow }\) in complex plane. Parameters are ħvF = 1, E = 0.004t, M0 = 0.02t, L0 = 0, L = 200.