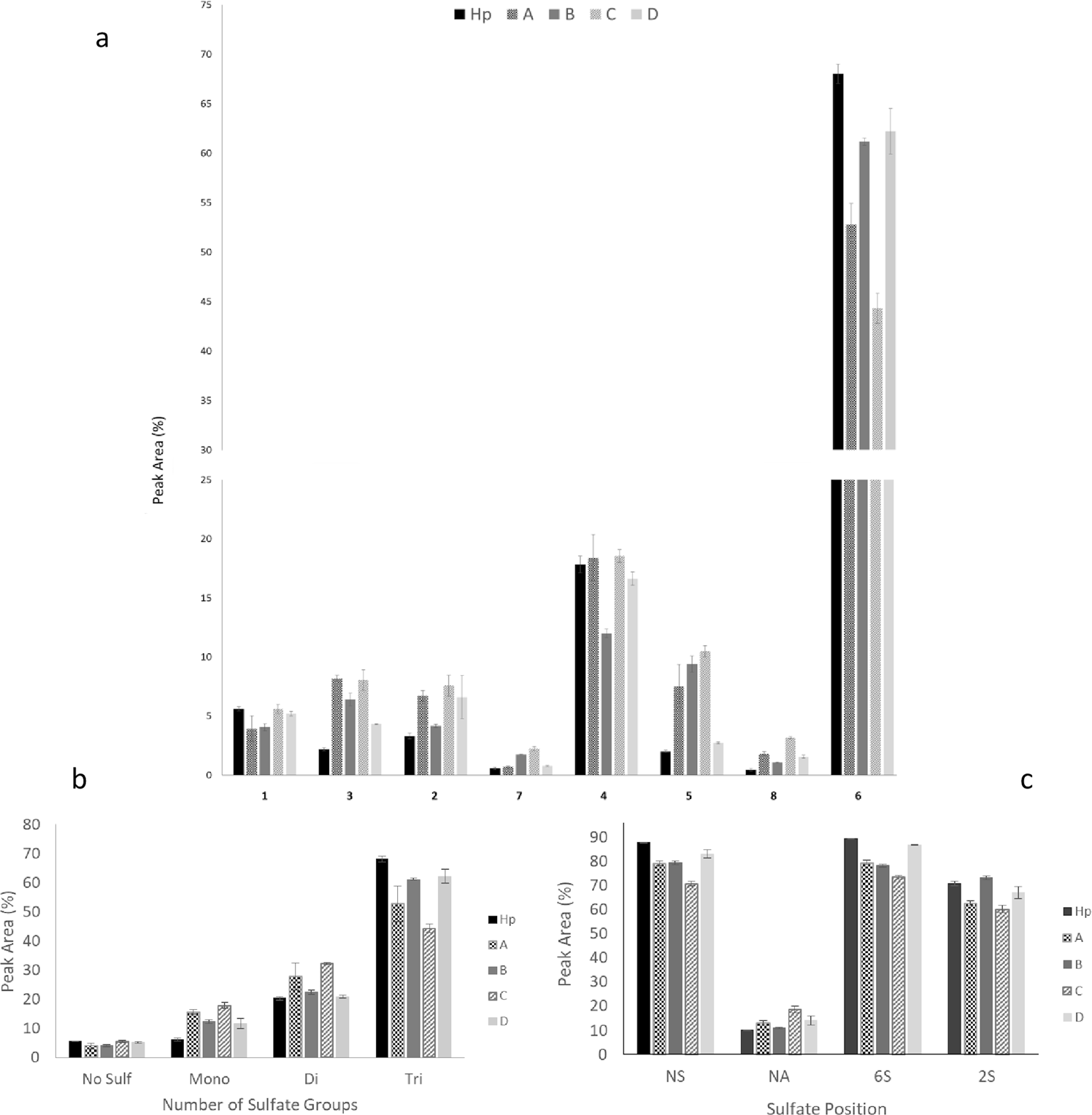
Figure 4

Disaccharide analysis of Hp and by-products. (a) Following enzymatic digestion with heparinase I, II and III samples were separated on a Dionex PA-1 column over a 0–2 M NaCl gradient, products were identified by UV at 232 nm. A set of 8 known structures were also run under the same conditions and these were used to identify peaks from the samples (Table 2). Percentage peak areas were calculated for each sample, along with the SEM and multiple t-tests comparing heparin to the other samples (p = 0.05, n = 3). (b) Analysis of sulfation levels and types from disaccharide composition data. From the same data used in 4a, percentage peak areas for each sample were grouped into categories to determine other structural compositions. Percentage peak areas for no sulfates1, mono- (3, 2, 4) di- (5, 7, 8) and tri- (6) were calculated, with mean and SEM. Multiple comparison t-tests (p = 0.05, n = 3) between all sample to Hp were carried out. (c) Percentage peak areas were also grouped to examine the positions of sulfation; NS3,4,5,6, NA1,2,7,8, 2S [7, 5, 8. 6] and 6S2,4,6,8 were calculated, with mean and SEM. Multiple comparison t-test (p = 0.05, n = 3) comparing all samples to Hp.