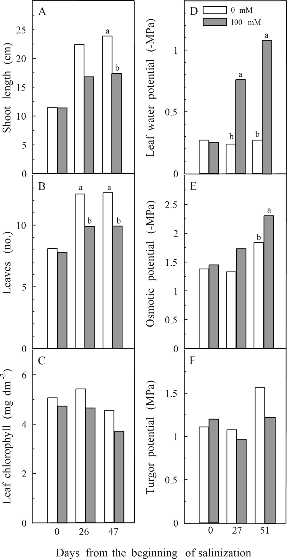
Figure 1

Length of the growing axis (A), number of leaves (B), leaf chlorophyll content (C), leaf water potential (D), osmotic potential (E), and turgor pressure (F) of 0 and 100 mM NaCl treated Ficus carica cv. Dottato. Values are means of 12 (A–C) and 4 (E–G) replicate plants. Different letters indicate significant differences (p < 0.05) between treatments after analysis of variance within each date of measurement.