Figure 5
From: Lamellar ordering, droplet formation and phase inversion in exotic active emulsions

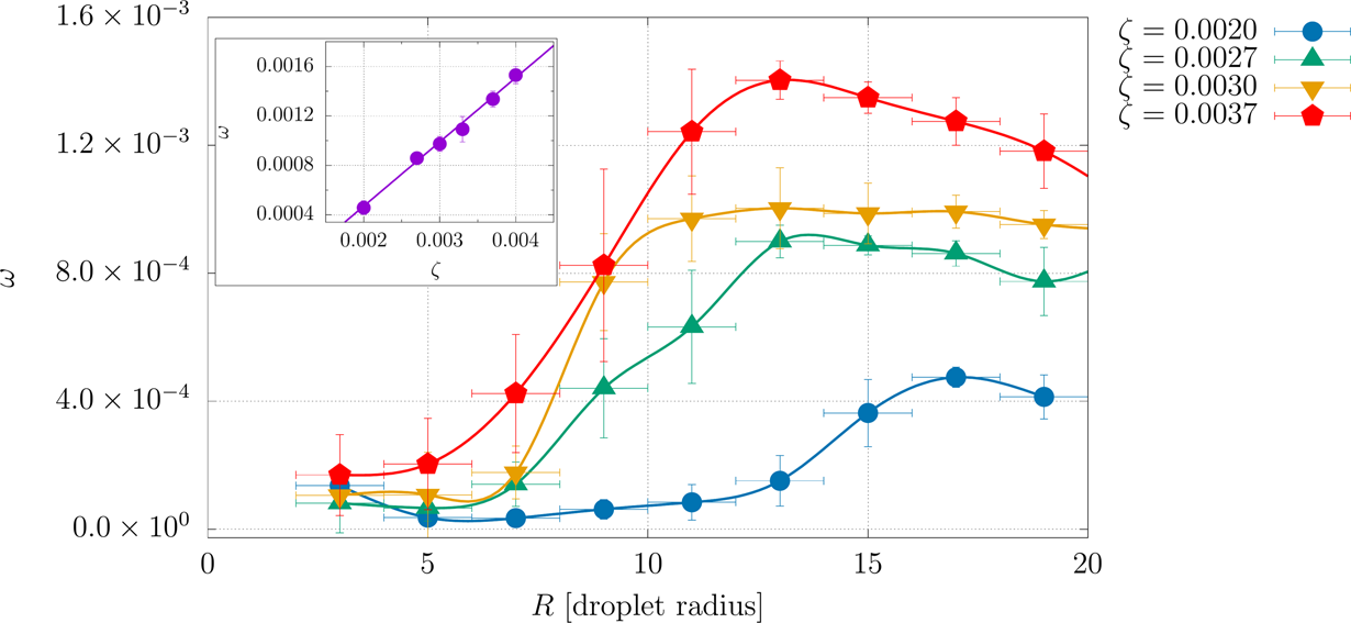
Angular velocity ω calculated as a function of the radius R of the droplet for four different values of the activity strength (ζ = 0.002 blue/circles, ζ = 0.0027 green/triangles, ζ = 0.003 yellow/reverse triangles and ζ = 0.037 red/pentagons). For all cases the anchoring strength is fixed to β = 0.01. Each value ω is calculated as an average value over a class of droplets (of at least six uncorrelated configurations at late times) whose radius ranges from R − 1 to R + 1 around a defined radius R. This also defines the error bar on x-axis. The error bar on the y-axis is the standard deviation of the average. Note that, at fixed ζ, the angular velocity increases with R up to \(R\simeq 13\) for ζ = 0.0027, 0.003, 0.0037, and up to \(R\simeq 15\) for ζ = 0.002. Then it remains approximately constant. In this region the mean angular velocity grows linearly with ζ (see the inset).