Figure 6
From: Lamellar ordering, droplet formation and phase inversion in exotic active emulsions

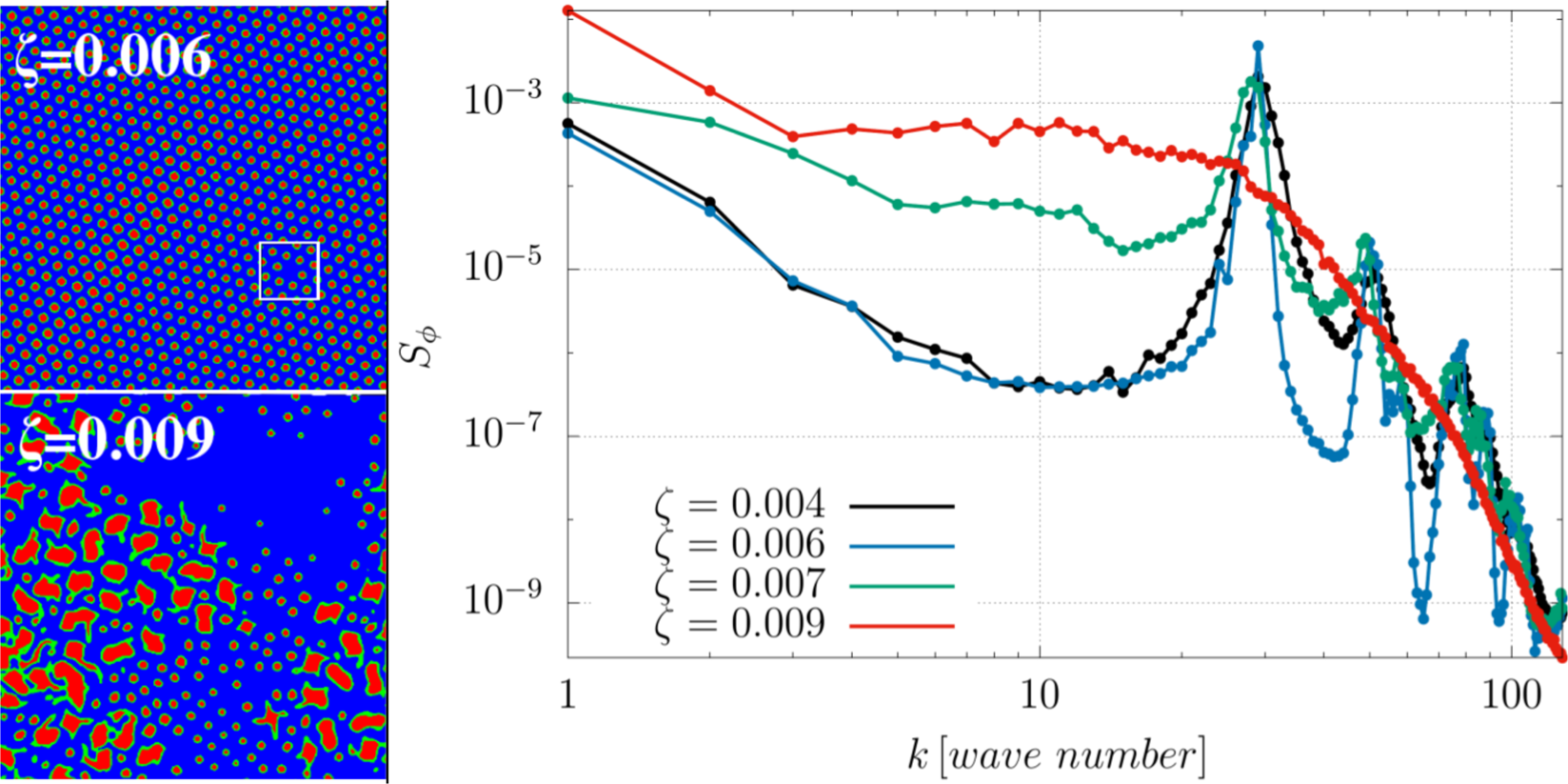
(Left) Snapshots of ϕ contour plots with 10:90 composition, at late times for different values of ζ in an extensile material with β = 0.01. An emulsion of active droplets forms in a passive matrix for all values of ζ considered. While at low activity (\(\zeta \mathop{ < }\limits_{ \tilde {}}0.005\)) droplets arrange in an almost rigid lattice structure with defects, a more severe active doping is capable to maintain a residual flow that removes defects from the system (top left panel). If activity exceeds a critical threshold (\({\zeta }_{c}\simeq 0.007\)), larger dynamical domains form from collisions and merging of smaller droplets (left bottom panel). (Right) This panel shows the concentration structure factor for different values of ζ: peaks observed at k = 30, k = 50 and k = 80 correspond to l = 8.5, l = 5.1 and l = 3.2, respectively. The first one gauges the triangular lattice size while the others are two different characteristic lengths of the domains observed. Wavevector axis is labeled in lattice units. Results refer to a square lattice of size L = 256.