Figure 1

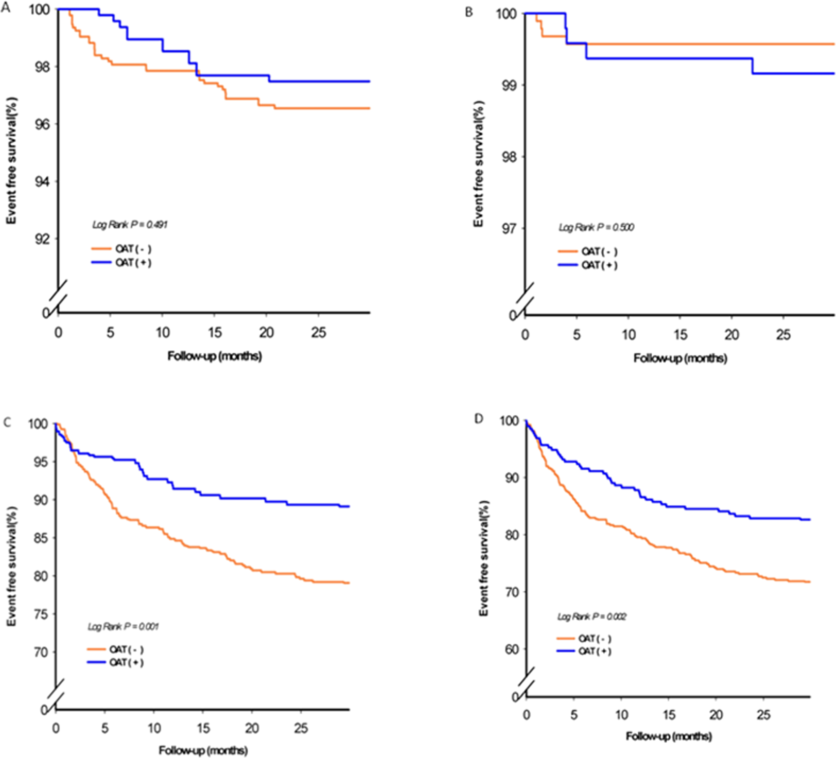
Kaplan-Meier estimates of survival free of cardiovascular events, including (A) myocardial infarction; (B) stroke, (C) revascularization treatment and (D) total cardiovascular event in subjects categorized according to whether oat is used.

Kaplan-Meier estimates of survival free of cardiovascular events, including (A) myocardial infarction; (B) stroke, (C) revascularization treatment and (D) total cardiovascular event in subjects categorized according to whether oat is used.