Figure 2
From: Protective effect of oxytocin on LPS-induced acute lung injury in mice

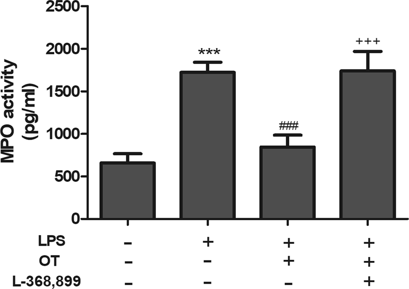
Effects of OT on lung MPO activity in mice with LPS-induced ALI. The values are presented as means ± standard error of the mean. ***P < 0.001 vs control. ###P < 0.001 vs LPS. +++P < 0.001 vs OT. Data show means with SEM for five mice/group.