Figure 3
From: The Limits of Earthquake Early Warning Accuracy and Best Alerting Strategy

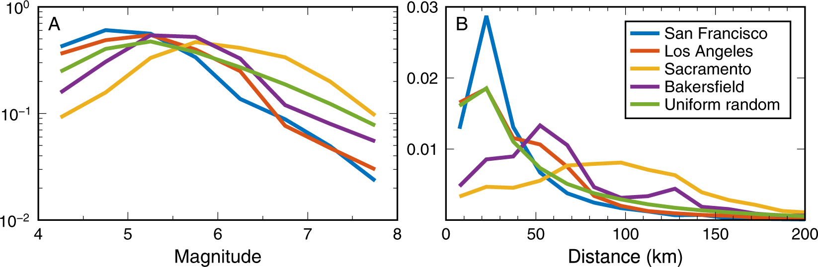
Normalized PDFs of magnitude and distance. PDFs of (A) magnitude and (B) rupture distance for 480,000 years of ruptures generated with UCERF3 probabilities that are observed to produce PGA > 2%g in San Francisco, Los Angeles, Sacramento, and Bakersfield. The PDFs for a catalog of earthquakes with uniform random location and constant strike are also shown. All PDFs are normalized to integrate to one, allowing better comparison between locations with different seismicity rates. (A) While the earthquake catalogs are generated using UCERF3 or Gutenberg-Richter probabilities, and thus start with approximately constant slope, we are only plotting the subset of earthquakes in the full catalog whose stochastic realizations of PGA exceed 2%g at a specified location. Thus distant small earthquakes are not included and the frequency of occurrence decreases at small magnitude. All locations produce approximately similar magnitude-frequency relationships. However, the distribution of rupture distances (B) is quite variable, with San Francisco and Bakersfield hazards being dominated by faults at specific distances, while Sacramento is mostly affected by background seismicity at all distances. Los Angeles, which is home to many faults following a dominant trend, is perhaps unsurprisingly similar to the uniform random catalog.