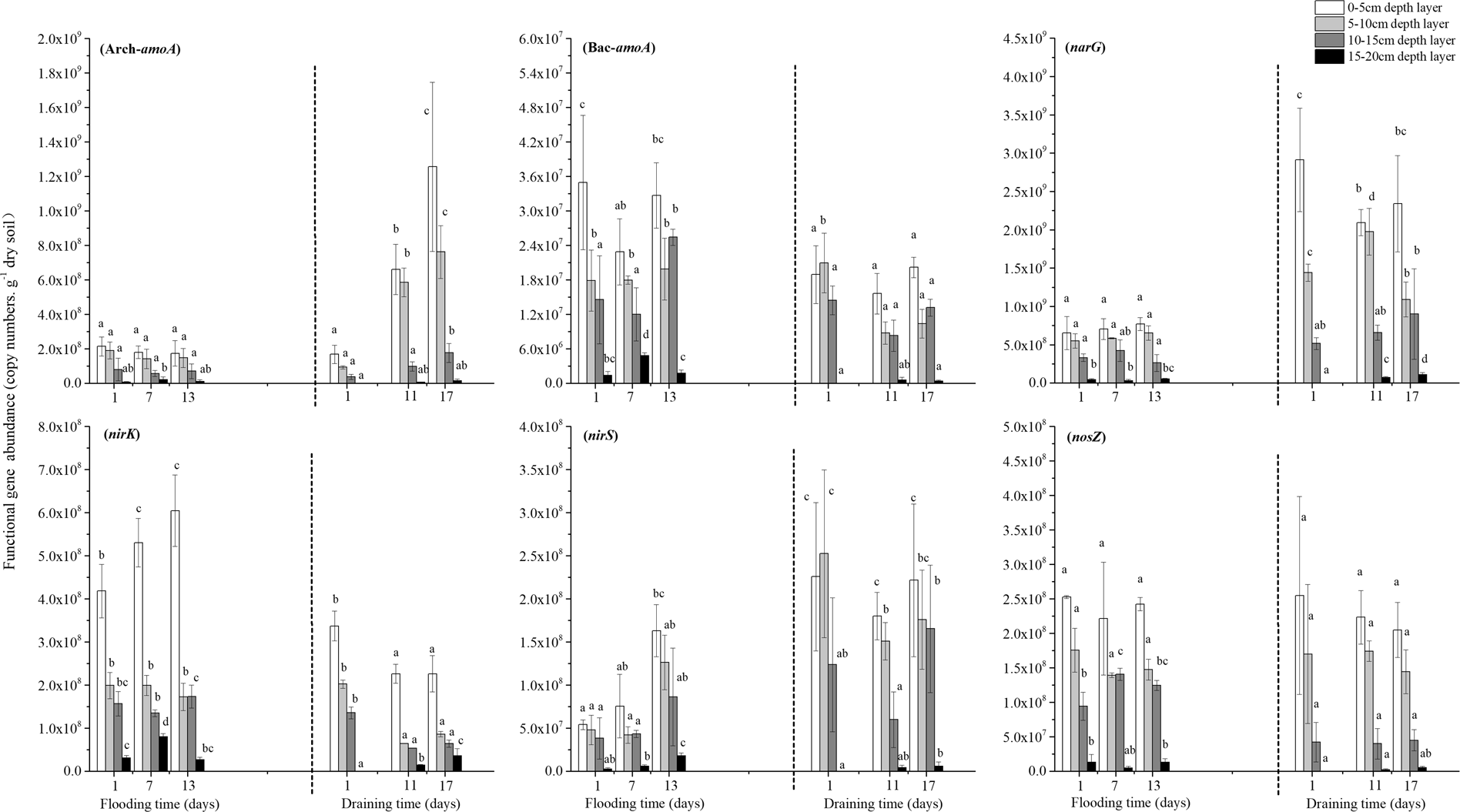
Figure 3

(Wei) Dynamics of functional gene abundance in soil during flooding and draining incubation. Data are means ± standard error of three replicates. Lowercase letters above bars indicate significant difference (P < 0.05) of time course according to ANOVA analyses.