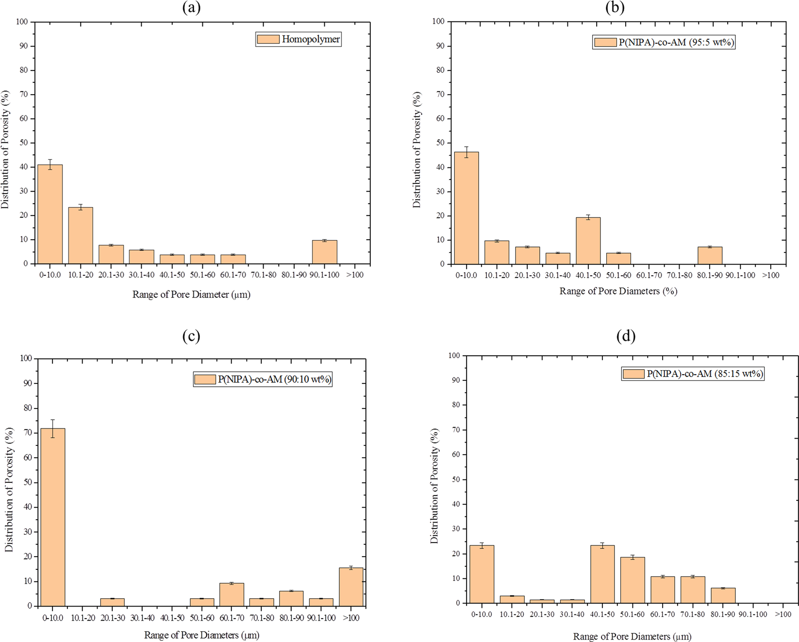
Figure 2

Effect of Copolymerization on the Distribution of Pore Diameters of P(NIPA)-Based Polymers: (a) Homopolymer, (b) P(NIPA)-co-AM (95:5āwt%), (c) P(NIPA)-co-AM (90:10āwt%) and (d) P(NIPA)-co-AM (85:15āwt%).

Effect of Copolymerization on the Distribution of Pore Diameters of P(NIPA)-Based Polymers: (a) Homopolymer, (b) P(NIPA)-co-AM (95:5āwt%), (c) P(NIPA)-co-AM (90:10āwt%) and (d) P(NIPA)-co-AM (85:15āwt%).