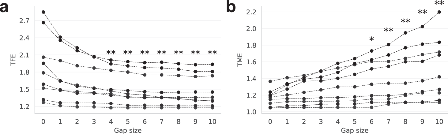
Figure 5
From: Automated tracking of label-free cells with enhanced recognition of whole tracks

Tracking errors of AMIT-v2 for different values of the gap size parameter. (a) The track fragmentation errors (TFE) and (b) track merging errors (TME) for the nine videos. Stars indicate a significant difference with respect to gap size 3 (default value): *p < 0.05, **p < 0.01 (Wilcoxon signed-rank test, n = 9, two-tailed).