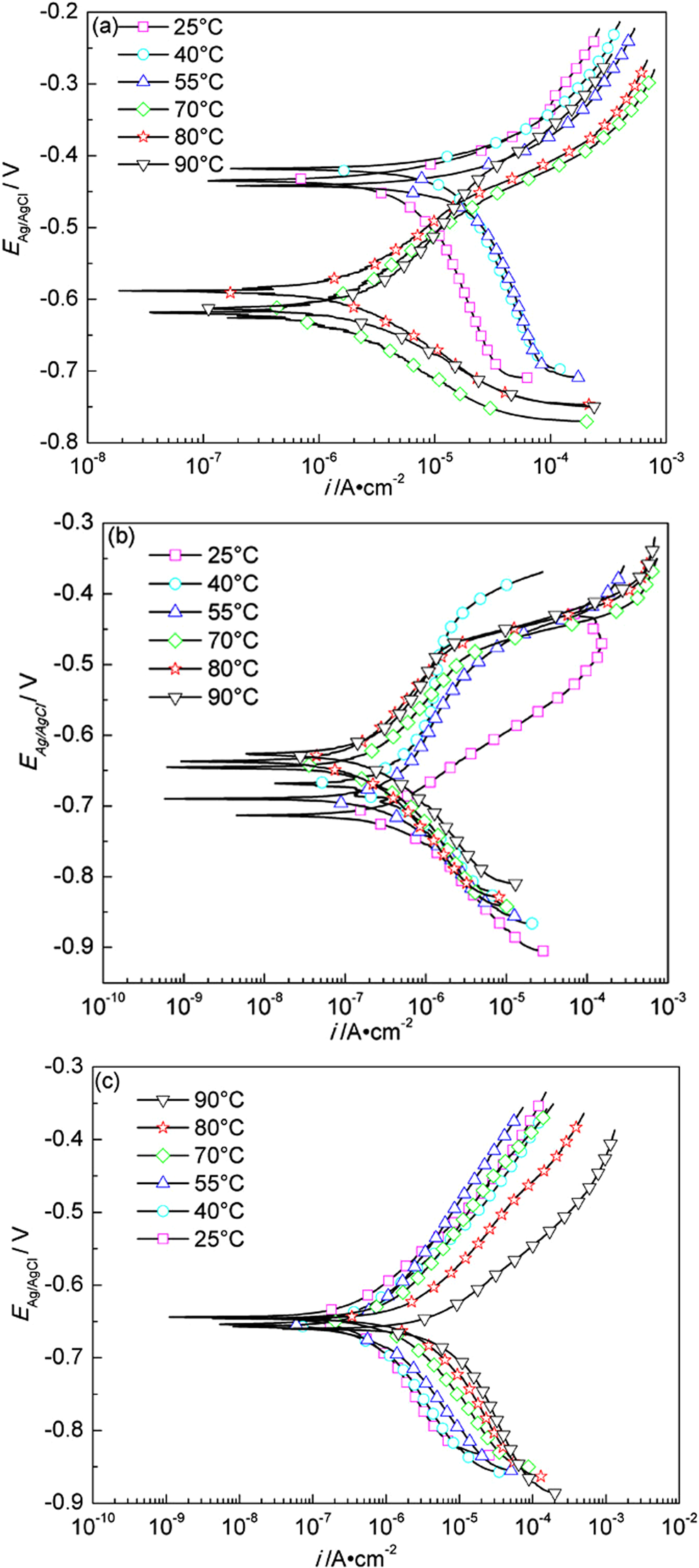
Figure 11

Tafel polarization curves of A283-D steel in highly compacted bentonite with 20% (a), 25% (b) and 30% (saturation) (c) water content at different temperatures.

Tafel polarization curves of A283-D steel in highly compacted bentonite with 20% (a), 25% (b) and 30% (saturation) (c) water content at different temperatures.