Figure 4
From: Identification of Streptococcus pneumoniae by a real-time PCR assay targeting SP2020

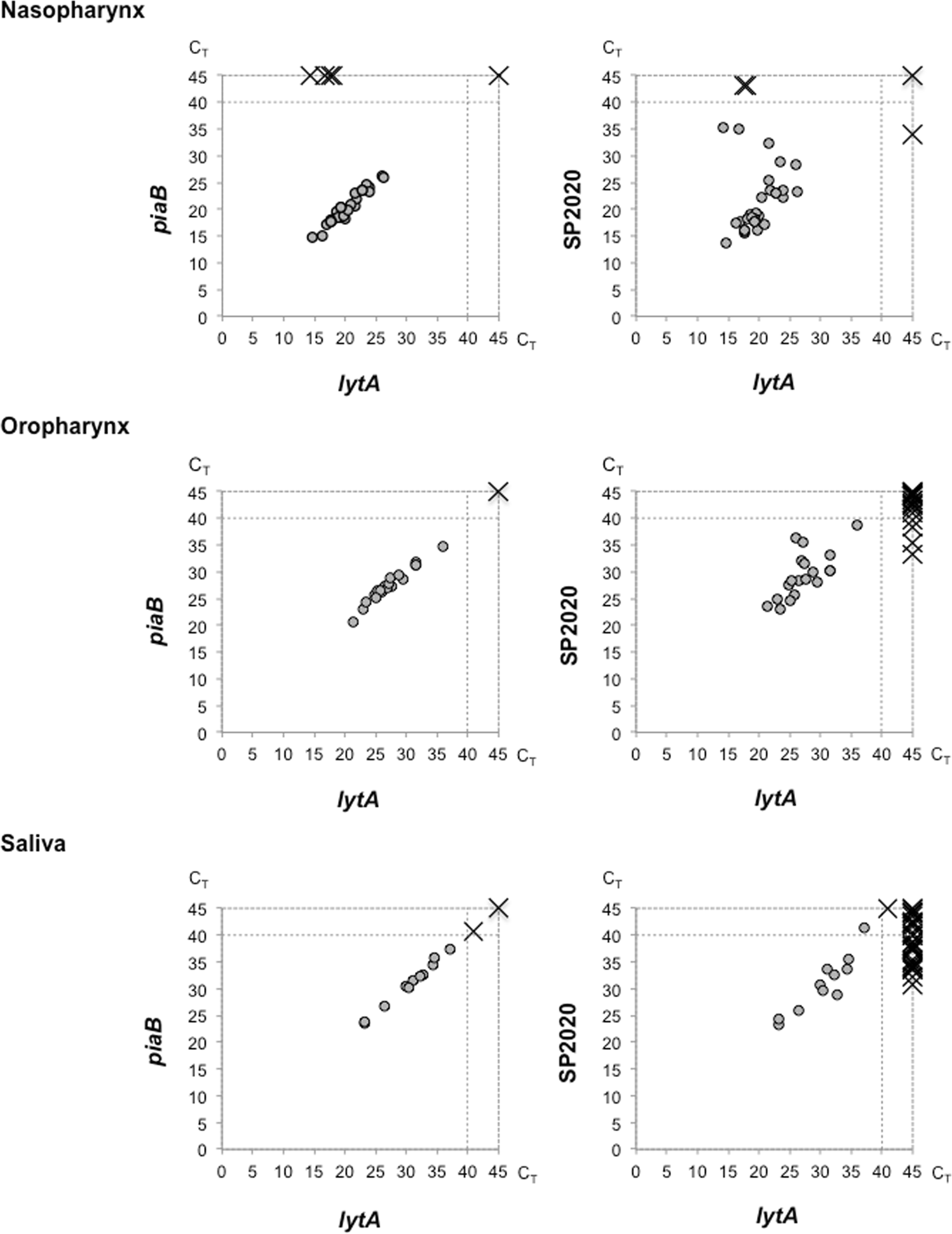
CT values obtained for 240 polymicrobial samples tested by real-time PCR for the presence of lytA, piaB and SP2020. Samples obtained from the nasopharynx, oropharynx and saliva of healthy adults (80 each) were tested. Circles indicate samples found to contain pneumococci (based on real-time PCR results for lytA, piaB, and SP2020 and real-time PCR capsular assignment). Crosses indicate samples for which no pneumococcus was detected. Additional details on these results are provided in Table 3.