Figure 3
From: Evidence of age-related improvement in the foraging efficiency of Adélie penguins

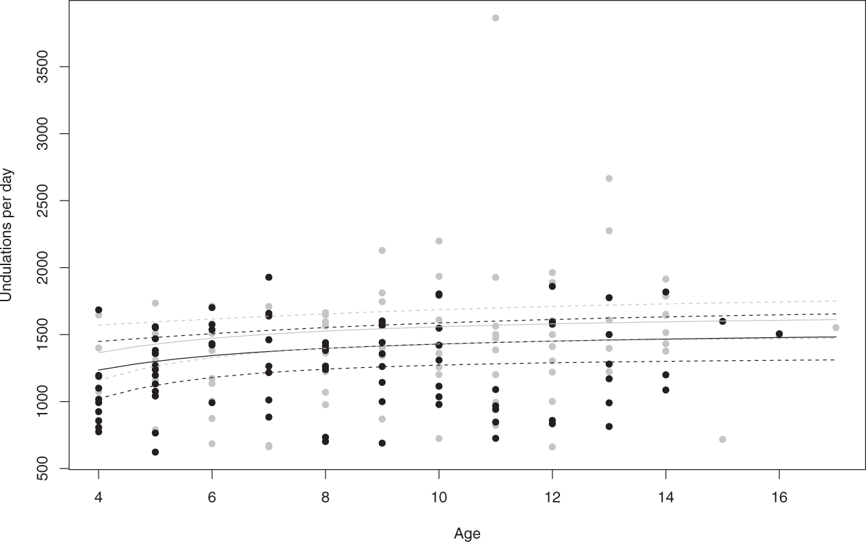
The number of undulations per day increases with age, faster in younger age classes, before reaching a plateau and is higher in males (in grey) than in females (in black). Linear regression equation and 95% CI from model 11: y = 1558.5 + 1292.7 * (−1/Age) + 128.9 * Sex(male) – 12.6 * Study Day(Dec 20); R² = 0.10. A linear increase of the number of undulations per day with age (model 12) is also supported by our data.