Figure 4
From: Evidence of age-related improvement in the foraging efficiency of Adélie penguins

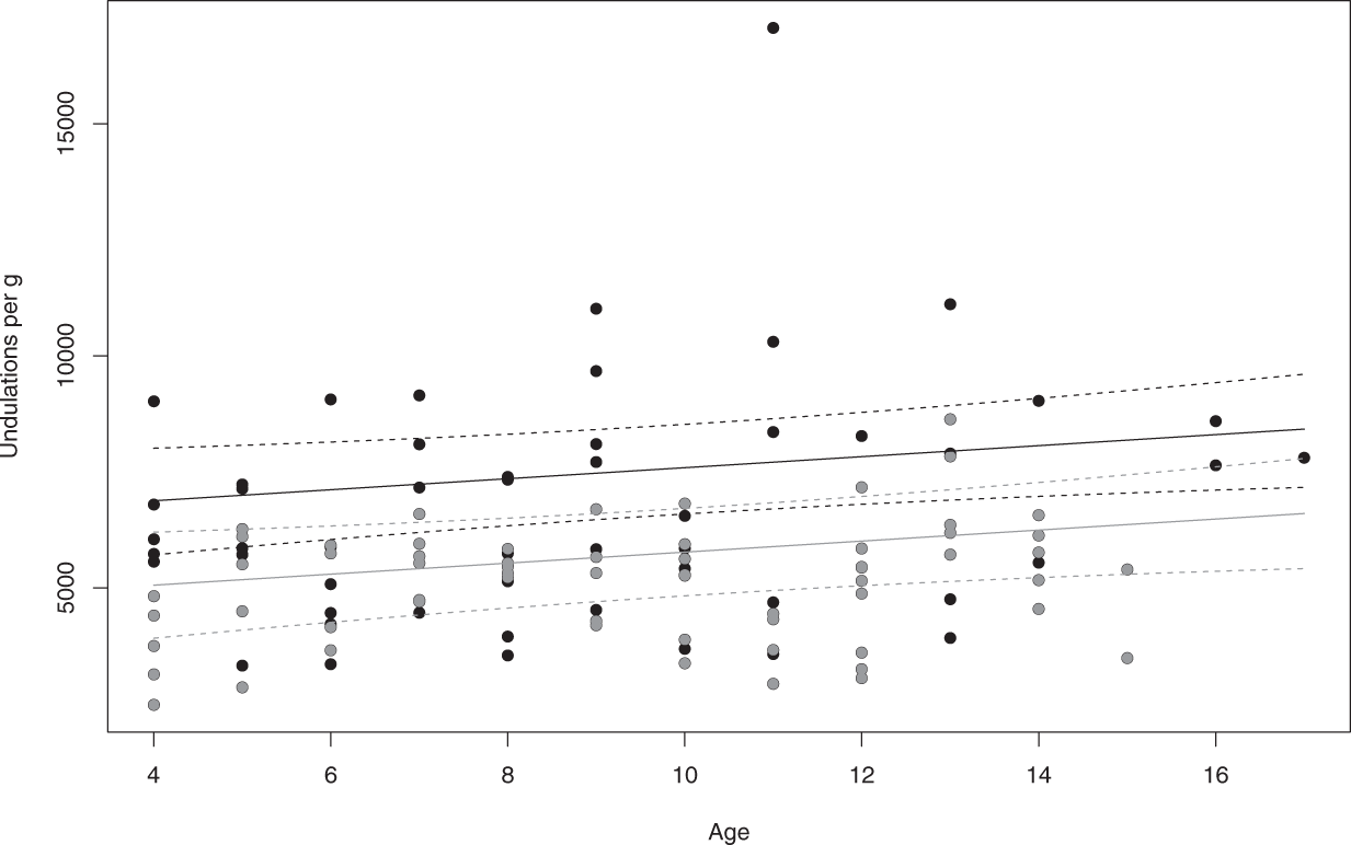
The number of undulations per g linearly increases with age and is higher in 2013 and 2010 (black dots) than in 2011 and 2012 (grey dots). Regression lines and 95% CI are drawn for 2013 (in black) and 2011 (in grey) from model 28 using the following equations: 6625.6 + 118.8 * Age – 225.5 * Year(2013); 6625.6 + 118.8 * Age – 2044.8 * Year(2011); R² = 0.23. A pseudo-threshold relationship between the number of undulations per day and age (model 23) is also supported by our data.