Figure 4
From: Microfluidic model systems used to emulate processes occurring during soft particle filtration

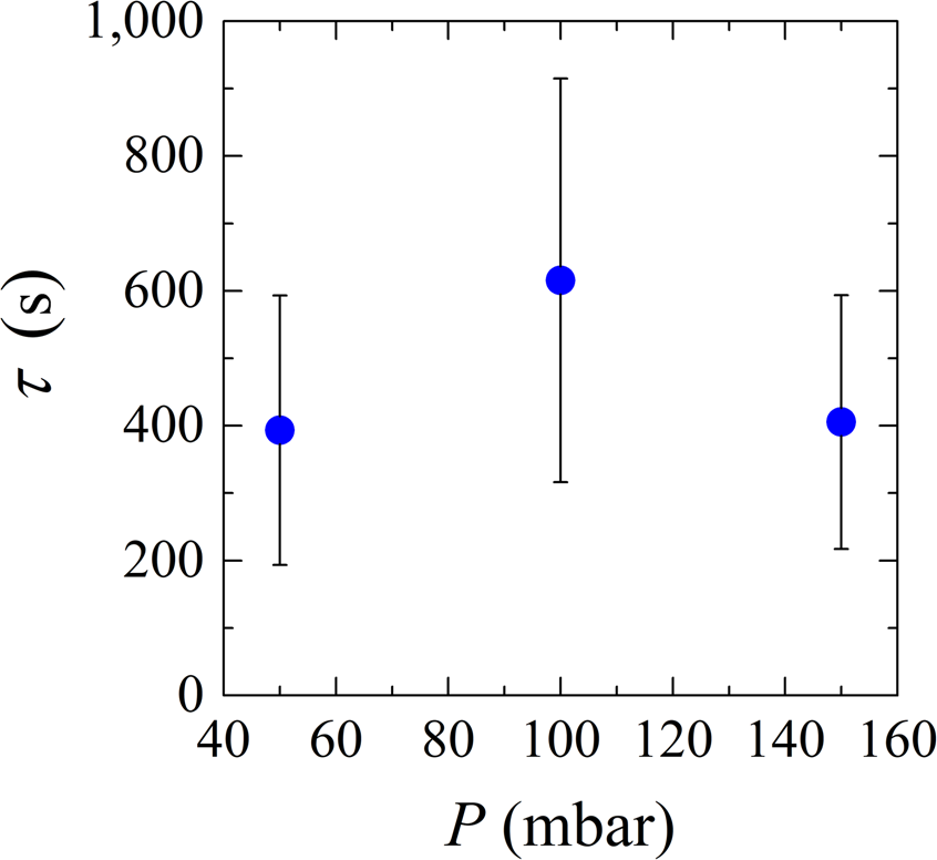
System clog time (τ) as a function of pressure (P).
From: Microfluidic model systems used to emulate processes occurring during soft particle filtration

System clog time (τ) as a function of pressure (P).