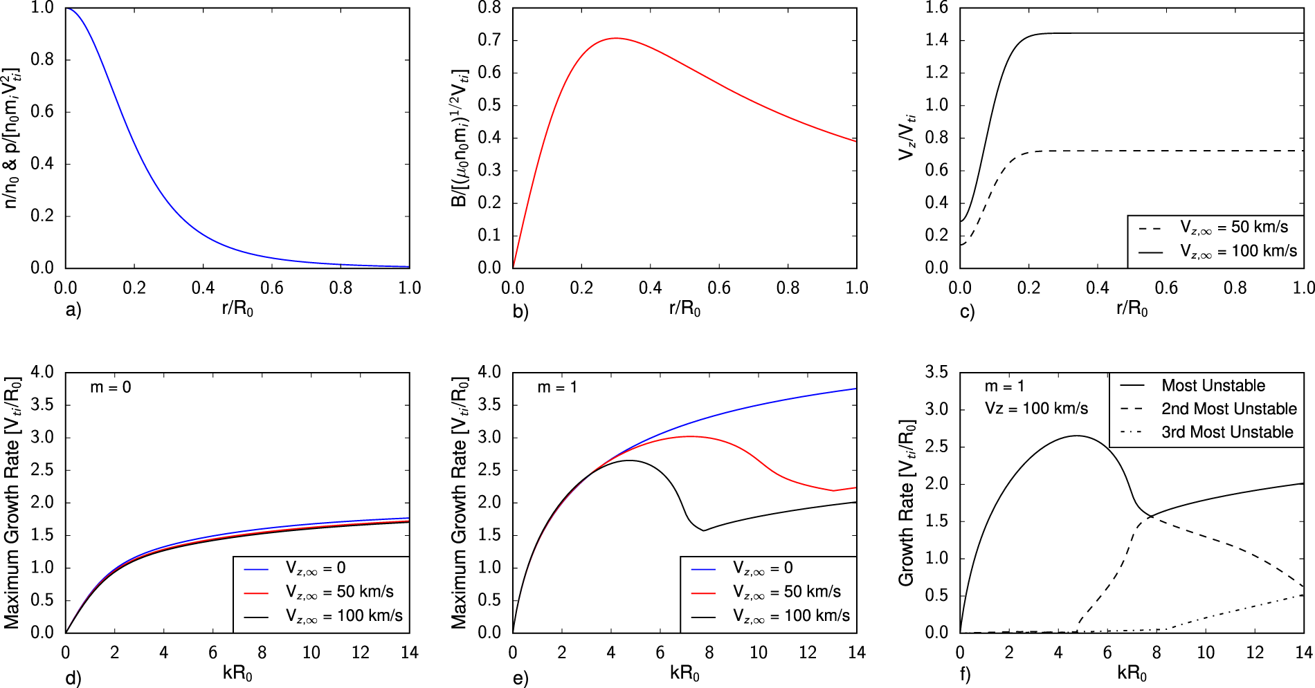
Figure 5
From: Dynamic formation of stable current-driven plasma jets

Stability Analysis: Results of the linear stability analysis of current-driven plasma jets. (a–c) Details of the equilibrium Bennett profiles used to model the axial pinch formed in the jet. (d,e) Show the m = 0 and m = 1 instability mode calculations as a function of k, the axial wavenumber, while (f) shows how the dominant spectral modes vary over k. Within the plots, n0, R0, and Vz,∞ are the are the peak number density, radius, and free stream velocity respectively in the simulated profile and \({V}_{ti}=\sqrt{2{k}_{b}T/{m}_{i}}\) is the ion thermal velocity where a temperature of kbT = 25 eV was assumed22.