Figure 4
From: Role of metallic core for the stability of virus-like particles in strongly coupled electrostatics

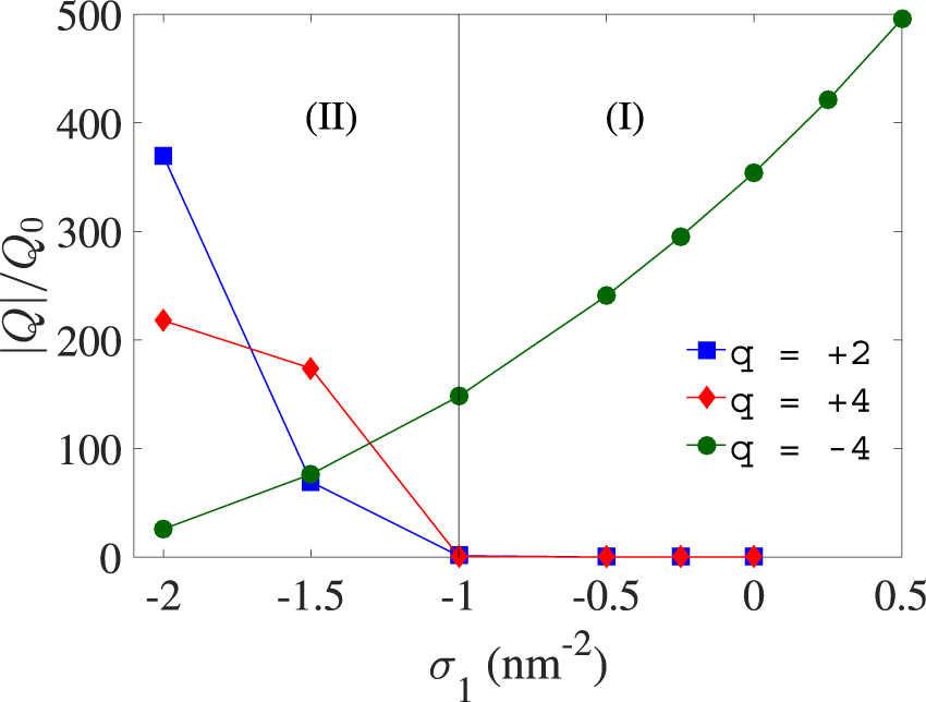
(Total multivalent-ion charge inside the VLP). Absolute value of the total multivalent-ion charge, |Q|, accumulated within inter-shell space of the VLP, R1 < r < R2, plotted as a function of the surface charge density of the NP coating layer for three different values of q. The results are rescaled with the characteristic charge \({Q}_{0}=(4\pi /3)({R}_{2}^{3}-{R}_{1}^{3})|q|{e}_{0}{c}_{0}\). See Fig. 2 for other parameters.