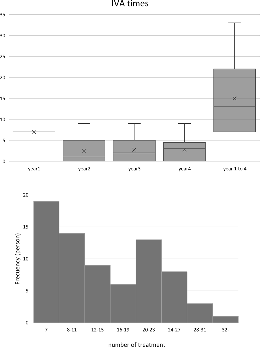
Figure 1

The box and whisker plot shows number of aflibercept injections in eyes with neovascular age-related macular degeneration. (Top) The patients received three monthly injections followed by two-monthly treatments in the first year (seven times). Thereafter, additional treatment was administered at the physicians’ discretion. The mean number of injections was approximately 2.5 in the following years. Frequency distribution of the number of injections is shown in bottom panel. The histogram shows bimodal distribution; some patients required almost no injections in the second, third, and fourth years, whereas others required continuous injections.