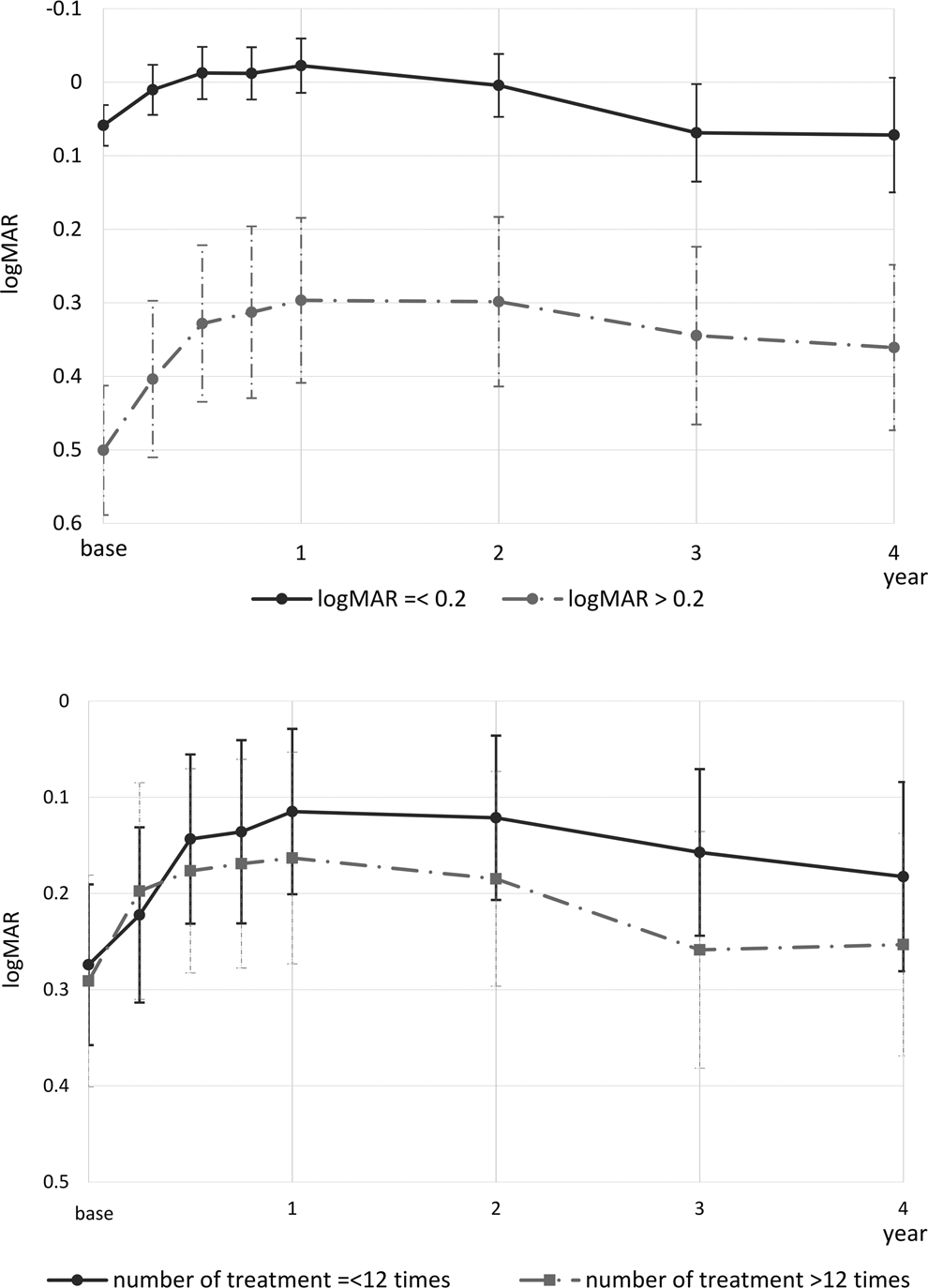
Figure 3

Visual outcome of eyes with neovascular age-related macular degeneration treated with intravitreal aflibercept injections. The top graph shows visual outcome in eyes with a baseline logarithm of minimum angle of resolution (logMAR) better than 0.2, or not. Those with poor visual acuity at baseline gained more vision in the first year. However, both groups showed similar decline of vision in the following year. The visual outcome of the group with poor baseline vision did not reach the same level of visual acuity as the group with good baseline vision. The bottom graph shows visual outcome in eyes that received more or less than 12 injections. Interestingly in this cohort, fewer number of injections was not associated with limited visual gain. Instead, those who received a greater number of injections showed slightly inferior outcomes.