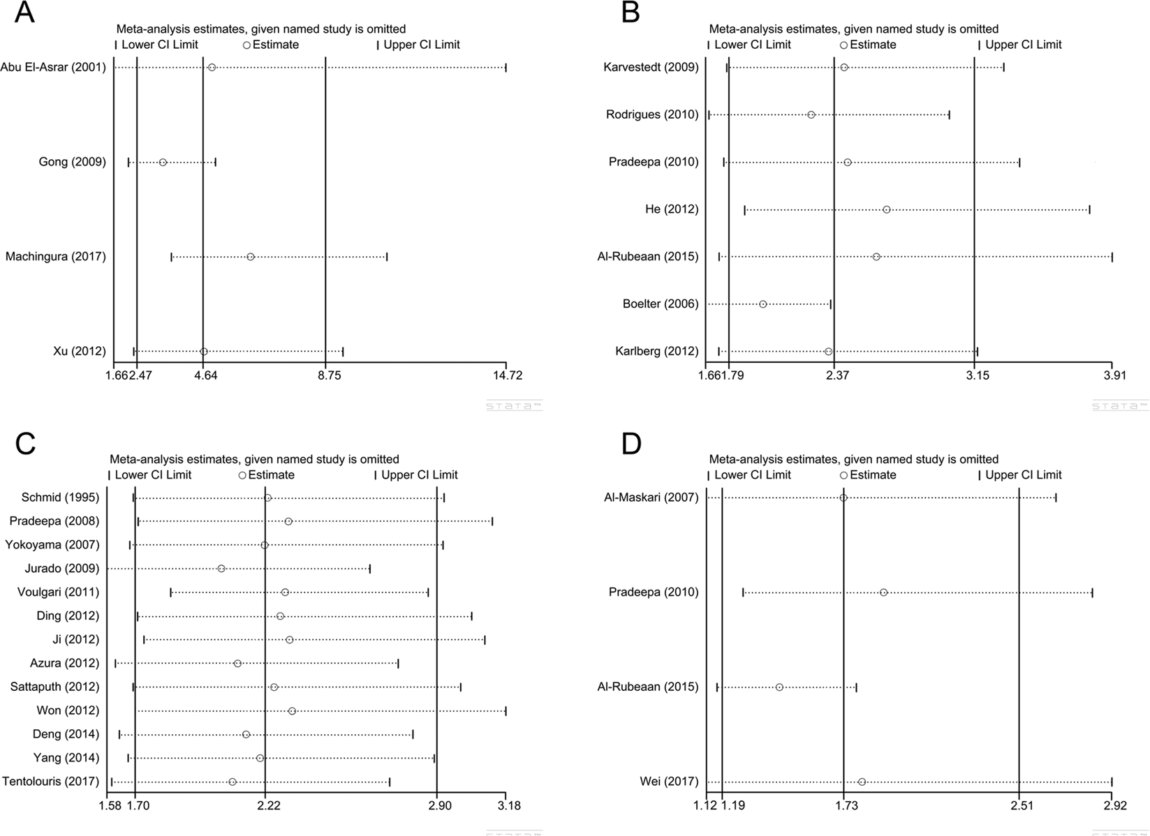
Figure 5
From: Correlations among Diabetic Microvascular Complications: A Systematic Review and Meta-analysis

Sensitivity analysis on the outcome of the association between diabetic retinopathy and diabetic kidney disease and between diabetic retinopathy and diabetic neuropathy.