Figure 6
From: Long-lived compositional heterogeneities in magma chambers, and implications for volcanic hazard

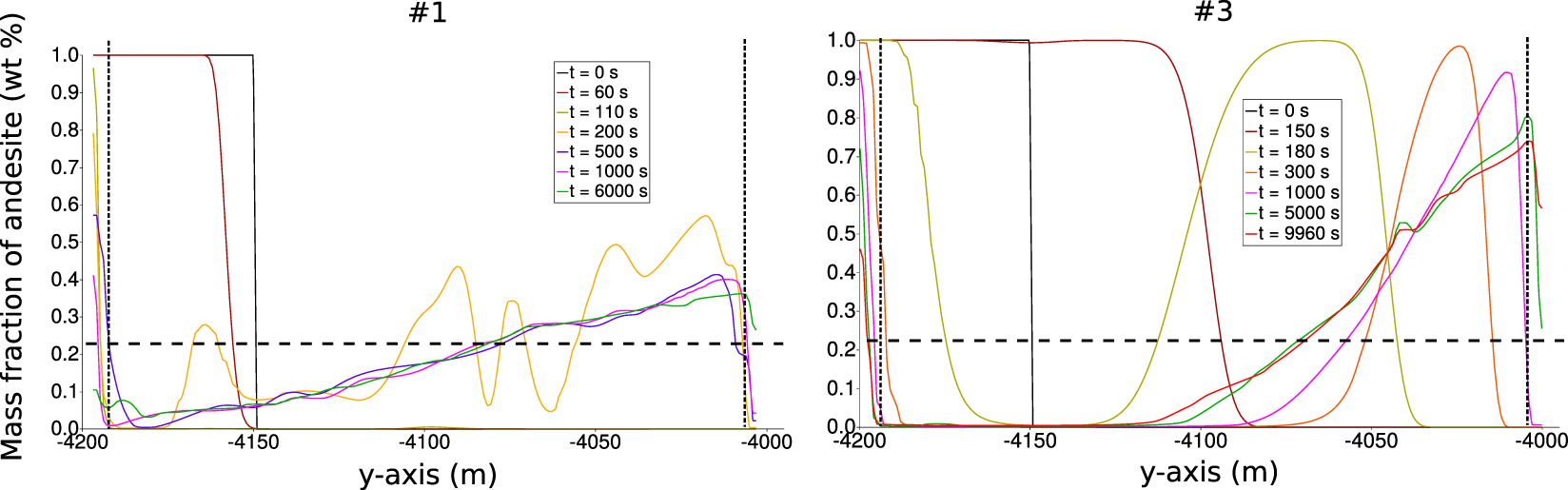
Compositional profile along x = −100 m for simulation cases #1 and #3. The portions outside the vertical dashed black lines are boundary layers. The hybrid composition is displayed by the horizontal dashed line.