Figure 4
From: Phase-pure VO2 nanoporous structure for binder-free supercapacitor performances

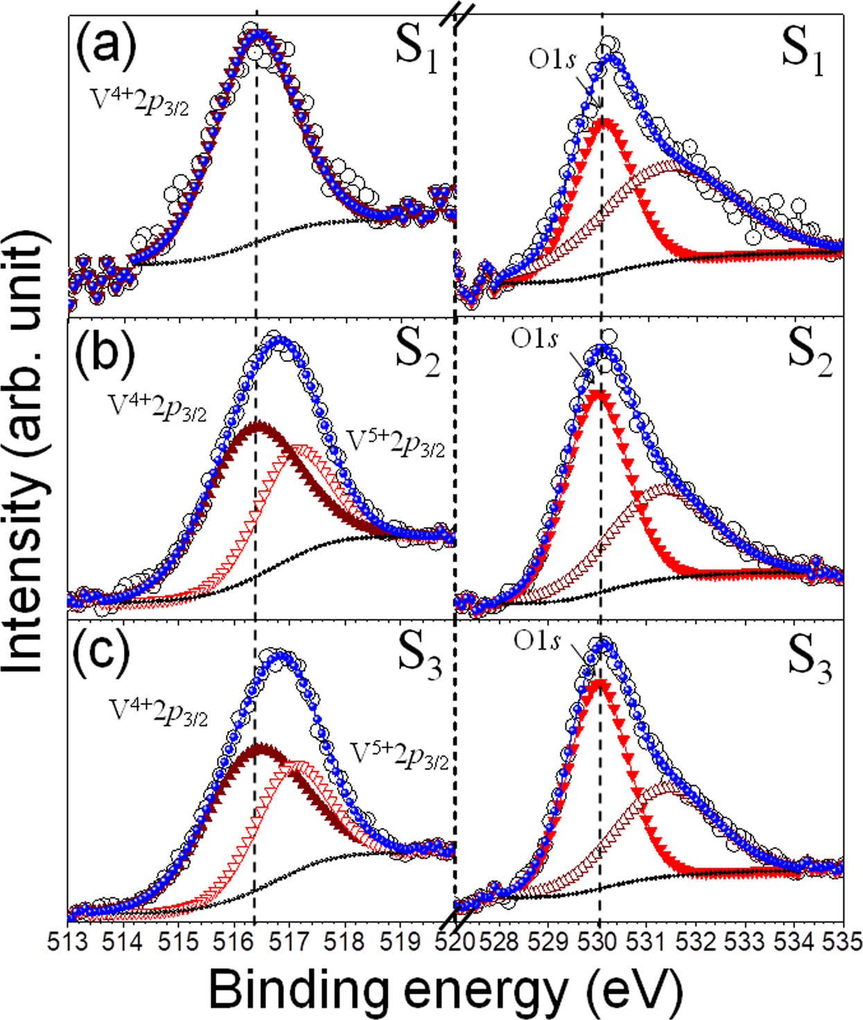
High resolution XPS spectra of the samples (a) S1, (b) S2, and (c) S3. Open circles represent the data points, solid arrows and circles represent the fitted curves. In the left panel, solid and empty arrows correspond to V4+ and V5+ oxidization states, respectively. In the right panel, solid arrows correspond to lattice oxygen, and empty arrows correspond to oxygen from absorbed oxygen species. The vertical dashed lines denote the corresponding BE values for V4+ 2p3/2 and lattice O1s states.