Figure 4
From: Chemically deposited palladium nanoparticles on graphene for hydrogen sensor applications

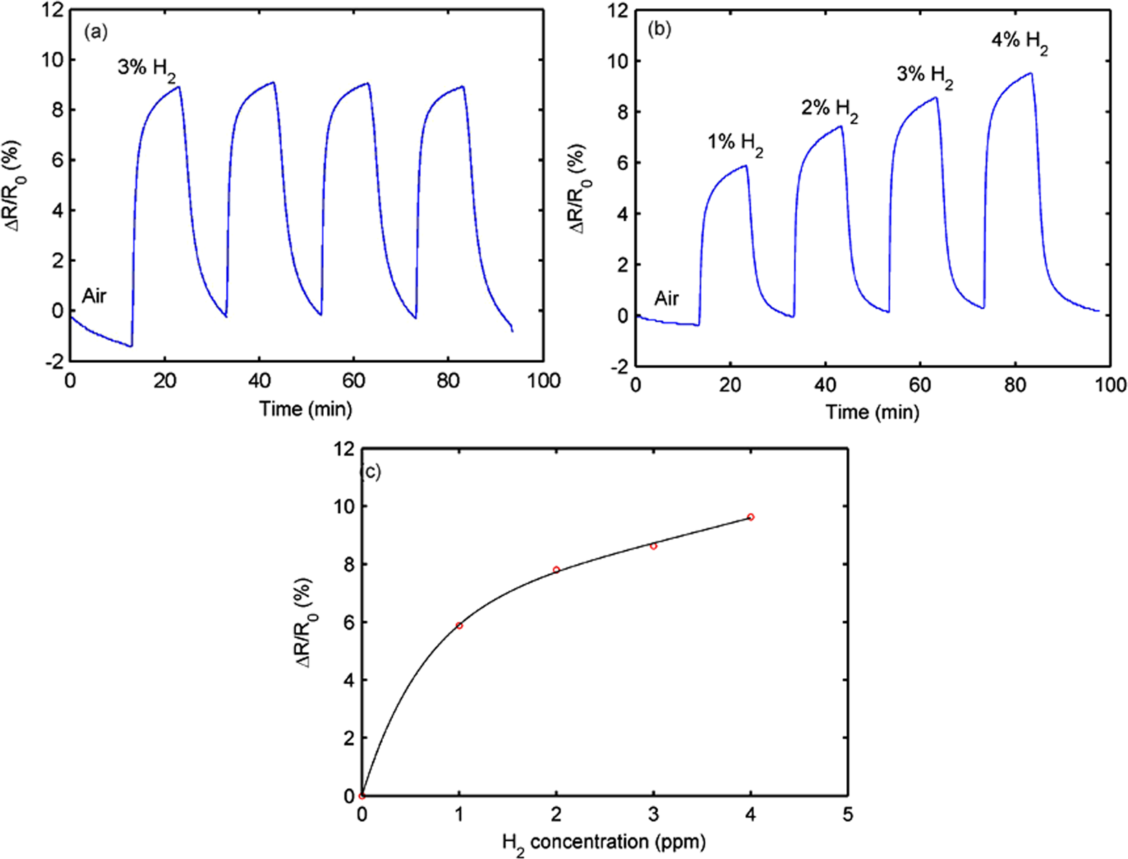
Resistance responses of Pd-decorated graphene sensor at 20 °C in air: (a) exposed to 4 cycles of 3% H2, (b) exposed to different H2 concentrations of 1, 2, 3, and 4%, and (c) relationship between the resistance response and the H2 concentration.