Figure 3

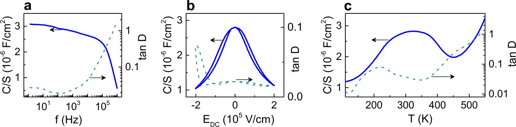
Capacitance density and loss factor as a function of (a) frequency, (b) dc electric field, and (b) temperature. Measurements were performed at temperature of 300 K (a,b) and frequency 1 kHz (b,c).

Capacitance density and loss factor as a function of (a) frequency, (b) dc electric field, and (b) temperature. Measurements were performed at temperature of 300 K (a,b) and frequency 1 kHz (b,c).