Figure 5

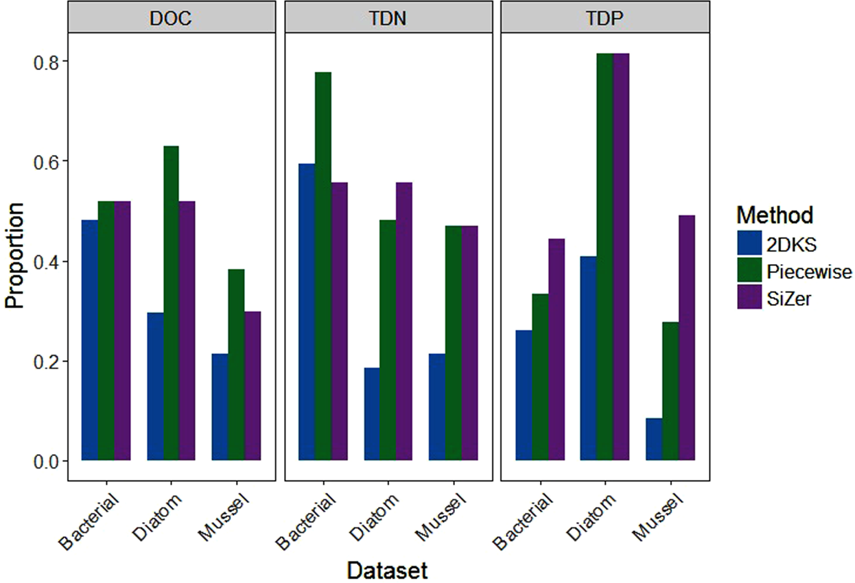
The proportion of bivariate solute-community and water quality parameter relationships where a breakpoint was identified by each method for each parent dataset (bacterial, diatom, and mussel) and solute.

The proportion of bivariate solute-community and water quality parameter relationships where a breakpoint was identified by each method for each parent dataset (bacterial, diatom, and mussel) and solute.