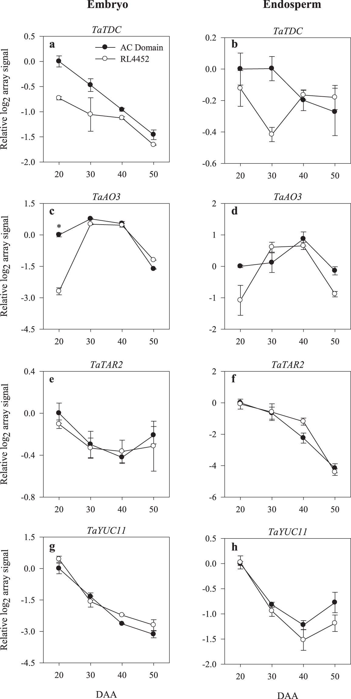
Figure 5

Expression patterns of auxin biosynthetic genes (TaTDC, TaAO3, TaTAR2, and TaYUC11) in the embryo (a,c, e,g) and endosperm (b,d,f,h) tissues of AC Domain and RL4452 during seed maturation. Data descriptions are as indicated in Fig. 1. TDC, tyrosine decarboxylase; AO, aldehyde oxidase; TAR, tryptophan aminotransferase related; YUC, flavin monooxygenases.