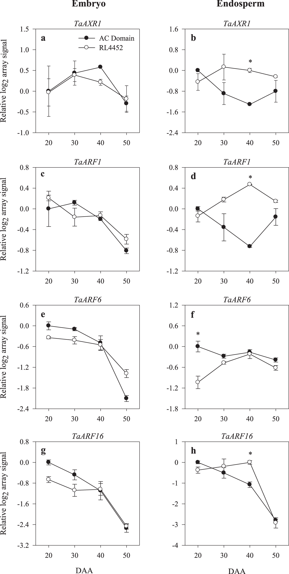
Figure 8

Expression patterns of auxin signaling genes (TaAXR1 and TaARFs) in the embryo (a,c,e,g) and endosperm (b,d,f,h) tissues of AC Domain and RL4452 during seed maturation. Data descriptions are as indicated in Fig. 1. AXR; auxin-resistant; ARF, auxin response factor.