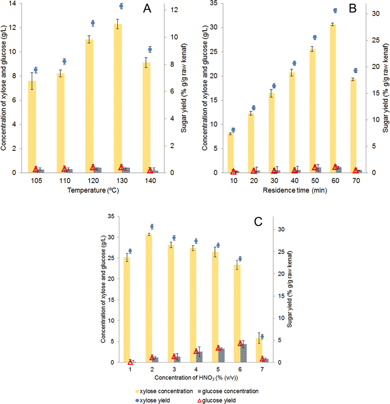
Figure 1

The effects of (A) temperature (105–140 °C), (B) residence time (10–70 min), and (C) nitric acid concentration (1–7% (v/v)) on acid hydrolysis of kenaf; xylose concentration (orange bar); glucose concentration (blue bar); xylose yield (filled circle); glucose yield (open triangle). Error bars indicate the standard deviations of three independent experiments.