Figure 5

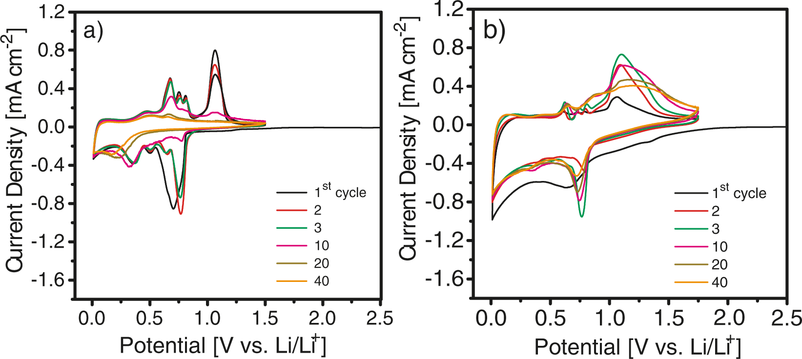
Cyclic voltammograms of (a) as-prepared SnSb and (b) PS-b-PHEA-coated SnSb recorded at a scan rate of 0.1 mV s−1 in the potential window of 0.01 V–1.75 V vs. Li/Li+.

Cyclic voltammograms of (a) as-prepared SnSb and (b) PS-b-PHEA-coated SnSb recorded at a scan rate of 0.1 mV s−1 in the potential window of 0.01 V–1.75 V vs. Li/Li+.