Figure 3
From: Gadd45b mediates depressive-like role through DNA demethylation

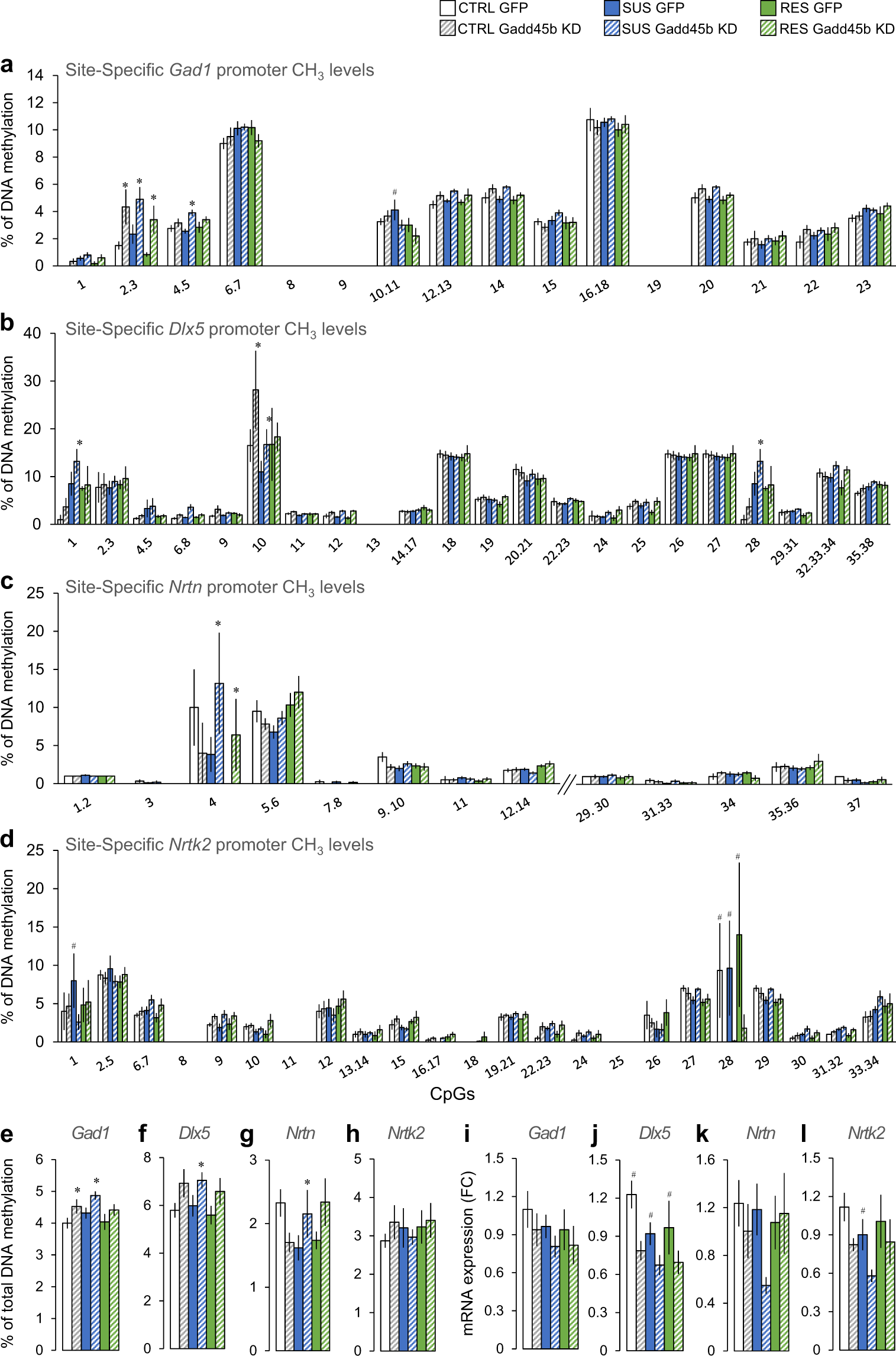
Effects of CSDS and viral-mediated downregulation of Gadd45b on DNA methylation and on gene expression of stress-related genes in NAc. (a,e) DNA methylation at individual CpGs (a) and total DNA methylation (e) in the Gad1 gene promoter in the NAc of control (CTRL; white), susceptible (SUS; blue), and resilient (RES; green) mice with (dashed lines) and without (full box) Gadd45b viral KD [phenotype (F(2,137) = 4.996, p < 0.01), viral KD (F(1,137) = 17.648, p < 0.001), CpG (F(12,258) = 263.746, p < 0.001), viral KD by CpG interaction (F(12,258) = 4.320, p < 0.001)]. (i) Gad1 relative expression in NAc of CTRL, SUS, and RES mice with and without Gadd45b KD (F(1,34) = 2.101, p = 0.078). (b,f) DNA methylation at individual CpGs (b) and total DNA methylation (f) in the Dlx5 gene promoter in CTRL, SUS, and RES mice with and without Gadd45b KD [viral KD (F(1,237) = 15.421, p < 0.001), CpG site (F(20,414) = 74.633, p < 0.001), phenotype by CpG site interaction (F(40,410) = 2.378, p < 0.001)]. (j) Dlx5 relative expression in NAc of CTRL, SUS, and RES mice with and without Gadd45b KD (F(1,33) = 11.26, p < 0.005). (c,g) DNA methylation at individual CpGs (c) and total DNA methylation (g) in the Nrtn gene promoter in CTRL, SUS, and RES mice with and without Gadd45b KD [CpG site (F(12,268) = 37.918, p < 0.001), phenotype by viral KD (F(24,268) = 1.338, p < 0.05)]. (k) Nrtn relative expression in NAc of CTRL, SUS, and RES mice with and without Gadd45b KD (F(1,33) = 2.359, p = 0.067). (d,h) DNA methylation at individual CpGs (d) and total DNA methylation (h) in the Ntrk2 gene promoter in CTRL, SUS, and RES mice with and without Gadd45b KD [CpG (F(19,352) = 17.453, p < 0.001) and viral KD by CpG interaction (F(19,352) = 4.313, p < 0.001]. (l) Ntrk2 relative expression in NAc of CTRL, SUS, and RES mice with and without Gadd45b KD (F(1,33) = 6.337, p = 0.017). For (a–h) CTRL GFP n = 4, CTRL Gadd45b KD n = 6, SUS GFP n = 9, SUS Gadd45b KD n = 10, RES GFP n = 6, RES Gadd45b KD n = 5. Mixed model two-way ANOVA with Fisher’s LSD post-hoc tests, *p < 0.05, compared to the corresponding GFP group, #p < 0.05, compared to the corresponding Gadd45b KD group. For (i–l) CTRL GFP n = 5, CTRL Gadd45b KD n = 6, SUS GFP n = 8, SUS Gadd45b KD n = 10, RES GFP n = 6, RES Gadd45b KD n = 5. Mixed model two-way ANOVA with Fisher’s LSD post-hoc tests, #p < 0.05, compared to the corresponding Gadd45b KD group. Bar graphs show mean ± SEM.