Figure 4
From: Simulations of Protein Adsorption on Nanostructured Surfaces

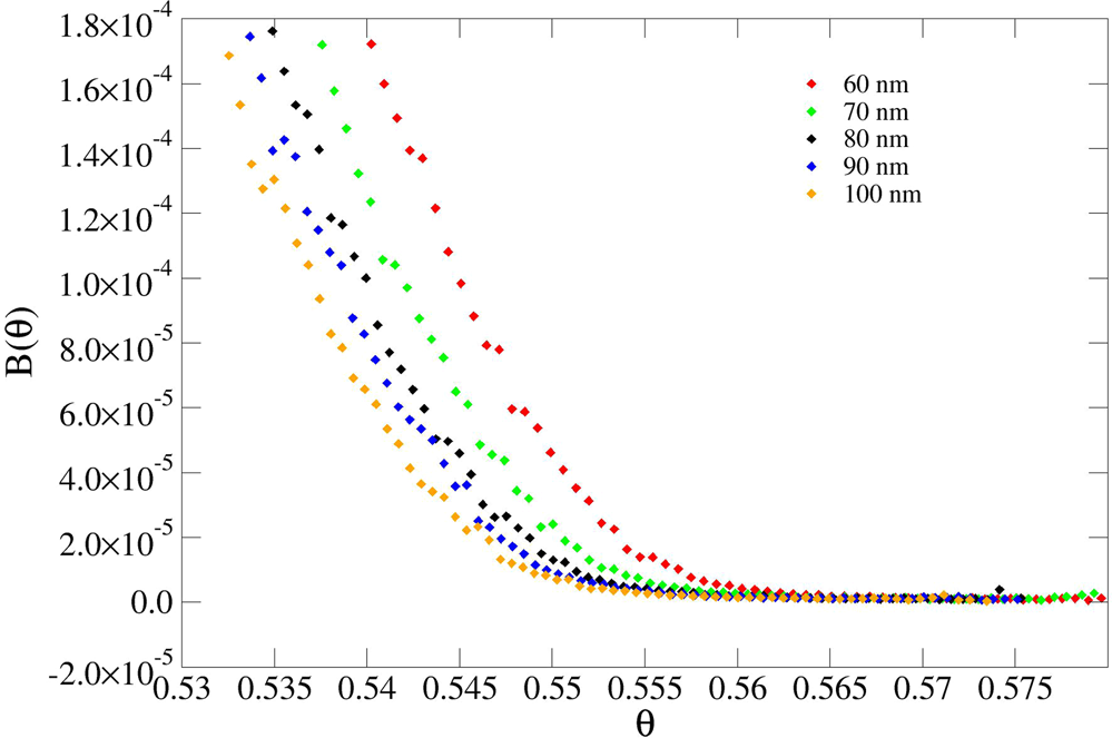
Blocking function of pillars using different widths at fixed height (200 nm).
From: Simulations of Protein Adsorption on Nanostructured Surfaces

Blocking function of pillars using different widths at fixed height (200 nm).