Figure 5
From: Simulations of Protein Adsorption on Nanostructured Surfaces

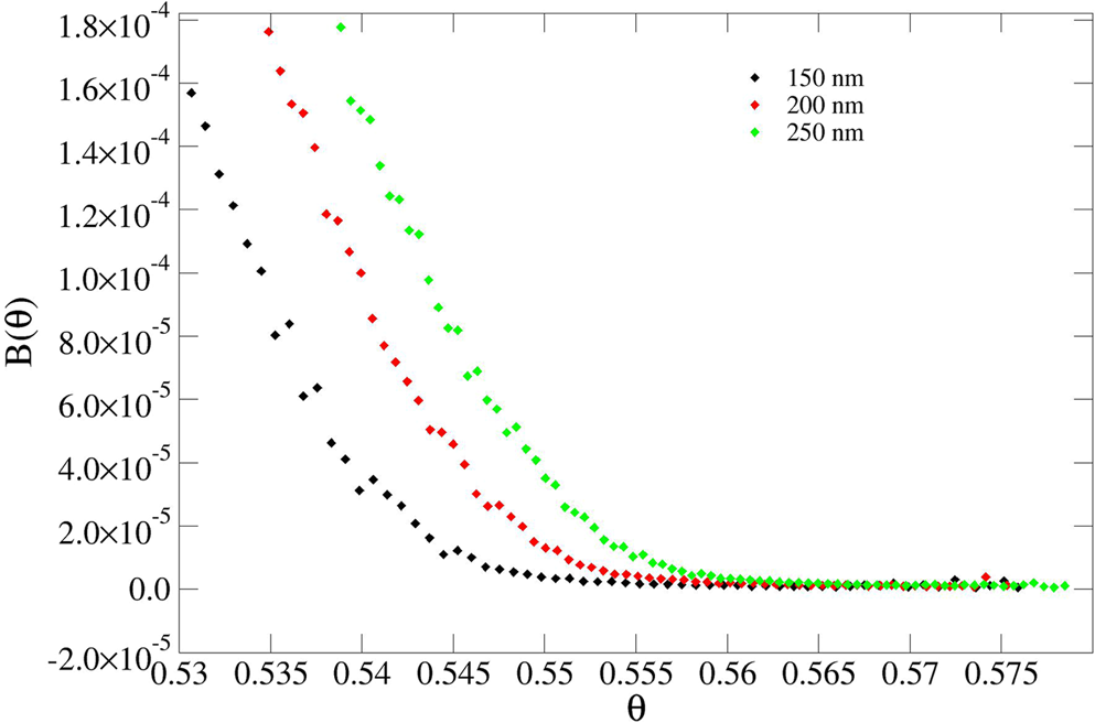
Blocking function of pillars using different heights at fixed width (80 nm).
From: Simulations of Protein Adsorption on Nanostructured Surfaces

Blocking function of pillars using different heights at fixed width (80 nm).